CMS型(包括ZMS型)埋刮板运输机链条张力和功率计算
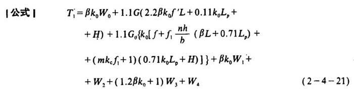
1.张力计算 [说明]参考图2-4-2。  式中 T1——垂直式刮板链条绕入驱动齿轮时的张力,即刮板链条的最大张力(N) β——弯道系数  当f′取0.5时,β值见表2-4-15 表2-4-15 弯道系数β  e——自然对数的底 x——倾射角(弧度) k0——括板阻力系数,取1.5 L——水平段长度(m) LP——弯道平均展开长(m) H——垂直段高度(m) m——物料流动系数  kc——物料对机槽器壁侧压系数,对于垂直型机槽宽0.6m.机槽高0.32m及链条速度0.44m/s的刮板运输机,其kc=9.9 其它同上 2.所需功率计算  式中 N′——所需功率(kW) T2′——刮板链条绕出链轮时的张力(N)  T0——刮板链条的初始张力(N) G、V——含义及单位均同上 |