网站首页  词典首页


请输入您要查询的字词:

 

字词 环形件辗轧
类别 中英文字词句释义及详细解析
释义

环形件辗轧


图8-22 辗压扩孔示意图

1—主动辊;2—工件;3—从动辊;4—导向辊;5—控制辊;6—原毛坯

8.2.3.1 环轧工艺原理特点及环形件分类

1.环轧的工艺原理

环形件辗轧简称辗环或环轧,又称环形件扩孔、辗压扩孔.它是一种在专门扩孔(辗环)机上环形毛坯在旋转的模具中轧制,毛坯壁厚变保同时直径扩大的一种压力加工工艺.

环轧工艺在滚动轴承的套圈、机车轮箍、法兰、齿圈等环形件制造中应用十分广泛.环轧工艺与锤、压力机、平锻机、闪光焊机的成形工艺联合使用能组成高效率、高质量的环形锻件生产线.

环轧的过程如图8-22所示.扩孔机有四种辊轮,环形毛坯套在从动辊上,旋转着的主动辊靠液压或气动加压使毛坯产生变形.导向辊始终靠在工件上,并随着工件直径的扩大而外移,其作用是使工件转动平稳,并对工件整形,当工件外径达到所需尺寸时,工件与控制辊接触,给出信号,主动辊回程,扩孔结束.根据生产实际经验,α导应大于65°,α控大于55°.

2.环轧工艺的特点

环轧工艺的特点是:

(1)改善工件的金属组织和性能,力学性能好.

(2)尺寸精度高,节省材料.

(3)生产率高,生产周期短,投资费用低.

(4)尺寸适应范围广,环形件尺寸直径可为25~6000mm,质量可为0.4~8000kg.

3.环形件的分类

环形件按环壁截面形状可分为矩形、锥形、十字形、沟槽形和法兰形等(见图8-23).不同的环形件在辗压时受力变形方向是不同的.一类是径向辗轧,即在扩孔时环壁径向受压缩,金属沿切线方向延伸,主要适用于矩形截面、沟槽形截面、十字形截面类环件,这种工艺设备简单,如图8-24所示;另一类是径向轴向辗轧,它在径向辗轧的基础上加上端面轧辊,使其产生轴向变形,主要适应于壁厚较大或截面较复杂的环件,见图8-25.

8.2.3.2 环轧压力的计算

1.径向辗压力的计算

图8-23 环形锻件分类

(a)矩形;(b)锥形;(c)十字形;(d)沟槽形;(e)法兰形

图8-24 径向辗压示意图

1—芯辊;2—主轧辊;3—锻件

图8-25 径向-轴向辗轧示意图

1—芯辊;2—主轧辊;3—锻件;4—端面轧辊

径向辗压力的计算公式为:

P=plH1 (8-14)

式中 P——径向辗压力,N;

p——平均单位面积压力,MPa,p=nσσ,其中nσ为系数,nσ,t为工件的壁厚,当l/t在0.05~1的范围内时,nσ值可从图8-26上查出;σ为扩孔温度时毛坯的屈服强度,MPa;

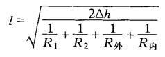
l——接触弧长,mm,其值可按下式近似计算(式中各尺寸符号如图8-27所示):

其中△h为锻件每转一圈壁厚方向的压下量,对小型工件△h=0.5~0.7mm,对大型工件△h=2~5mm;R1为主动辊工作半径,mm;R2为从动辊半径,mm;R、R分别为环件的内、外圈半径,mm;

H1——环件轴向高度,mm.

图8-26

2.轴向辗压力计算

轴向辗压力计算公式为:

P=pl’B(8-15)

式中 P——轴向辗压力,N;

p——平均单位压力,其计算与径向辗压力的平均单位压力计算相同,MPa;

l′——端面接触弧长投影长度,其值计算式可为:l′=,R为端面辗压辊半径,mm,对于圆锥形辊,可按工作部分的平均半径计算,△h的含义与径向辗压力中的相同;

B——环的壁厚,mm.

图8-27 碾压扩孔时尺寸符号示意图

8.2.3.3 环形锻件毛坯形状尺寸的确定

1.环形锻件图设计

由于环轧工艺不能排除多余金属,金属轴向流动量较校因此要在锻件上留有储存多余金属的部位,并适当加大其余量与公差.环形锻件图可由产品零件图上的尺寸加上余量和公差得到.加工余量及公差的数值见表8-21.

表8-21 辗轧环件的加工余量及公差 mm

2.毛坯形状尺寸确定

①毛坯形状

常见的毛坯形状如图8-28所示其中

(a)为辗轧后形状,(b)为毛坯形状.

②毛坯的尺寸确定

A.径向辗环机上毛坯图的制订

可按下式计算出毛坯的高度、内径和外径:

图8-28 具有相应截面形状的毛坯

式中 B、d、D——分别为毛坯的高度、内径和外径,mm;

B、d、D——分别为锻件的高度、内径和外径,mm;

K——辗压比,其选择可见表8-22.

B.径向-轴向辗环机上毛坯图的制订

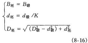
根据径向辗压时锻件端面的凹坑深度,确定最小的轴向压下高度,锻件外径D≤1000mm时,毛坯高度B为:

B=B+(5~20)mm

d=d/K

毛坯外径根据体积不变条件进行计算.计算时因未考虑毛坯的圆角、倒角,所以实际外径应稍大些.按这种方法算出的毛坯可能会出现曲折轮廓,应作必要的形状修正.

表8-22 辗压比选择

8.2.3.4 辗轧工具设计

1.主动辊 (辗压轮)

主动辊材料常用5CrMnMo、5CrNiMo或GCr15SiMn,硬度为HRCA5~50,常用结构见图8-29,其通用尺寸见表8-23.

图8-29 辗压轮结构形式

(a)Φ160mm或Φ250mm辗压机用;(b)、(c)、(d)几种改进后的辗压轮

表8-23 常用辗压轮的结构通用尺寸

注:表中尺寸代号见图8-29(a).

2.从动辊(芯辊)

从动辊材料常用3Cr2W8V、5CrMnMo或5CrNiMo,硬度为HRCA348,常用从动辊结构如图8-30所示,其主要结构尺寸见表8-24.

表8-24 从动辊主要结构尺寸

3.导向辊和控制辊

导向辊和控制辊采用材料可为GCr15或5CrMnMo等,硬度为HRC45~50,其结构如图8-31所示,主要尺寸由扩孔机的控制系统、最大锻件高度和外径决定.

4.辗压模工作部分的设计

辗压模工作部分按锻件的热尺寸设计.

图8-30 常用芯辊形式

(a)Φ160mm或Φ250mm辗环机用;(b)Φ250mm或Φ350mm辗环机用

图8-31 通用导向辊及控制辊结构

随便看

 

离鸟网收录3541549条中英文词条,其功能与新华字典、现代汉语词典、牛津高阶英汉词典等各类中英文词典类似,基本涵盖了全部常用中英文字词句的读音、释义及用法,是语言学习和写作的有利工具。

 

Copyright © 2004-2024 vtrois.com All Rights Reserved
更新时间:2026/4/20 7:37:14