网站首页  词典首页


请输入您要查询的字词:

 

字词 特殊矩阵
类别 中英文字词句释义及详细解析
释义

特殊矩阵


单位矩阵 主对角元为1,其余元素为零的矩阵,称为单位矩阵,一般记作E或I,即

数量矩阵 主对角元为k,其余元素为零的矩阵,称为数量矩阵,即kE.

对角矩阵 主对角元素为a11,a22,…,ann,其余元素为零的矩阵,称为对角矩阵,记作A,即

上三角矩阵 当i>j时,均有aij=0的矩阵,称为上三角矩阵,即

是上三角矩阵.

下三角矩阵 当i<j时,均有aij=0的矩阵,称为下三角矩阵,即

对称矩阵 A是n阶矩阵,满足条件AT=A,则称A是对称矩阵.

对称矩阵的充要条件 A是对称矩阵.2,…,n).

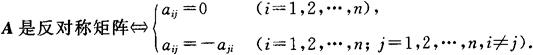
反对称矩阵 A是n阶矩阵,满足条件AT=-A,则称A是反对称矩阵.

反对称矩阵的充要条件

由n阶方阵A的元素构成的行列式称为方阵A的行列式,记为|A|或detA.

注 方阵和方阵的行列式是两个不同的概念,n阶方阵是n2个数按一定方式排成的数表.而方阵的行列式是由这n2个数按一定的运算法所确定的一个数.

方阵的行列式的运算性质

(1)|AT|=|A|.

(2)|kA|=kn|A|.

(3)|AB|=A||B|.

注 |A+B≠|A|+B|.

随便看

 

离鸟网收录3541549条中英文词条,其功能与新华字典、现代汉语词典、牛津高阶英汉词典等各类中英文词典类似,基本涵盖了全部常用中英文字词句的读音、释义及用法,是语言学习和写作的有利工具。

 

Copyright © 2004-2024 vtrois.com All Rights Reserved
更新时间:2026/4/20 16:53:47