网站首页  词典首页


请输入您要查询的字词:

 

字词 焊接
类别 中英文字词句释义及详细解析
释义

焊接


焊接是利用加热或不加热的方法,使两部分需要连接的材料(金属或非金属)形成原子或分子间结合,从而获得永久性连接(不可逆)的一种连接方法.由于焊接件具有设计施工灵活、结构质量轻、强度和刚度较高、生产成本相对较低等优点,因此它已基本取代了铆接结构件.在船体、车辆底盘、起重及挖掘等机械的梁、柱、桁架、吊臂及锅炉等各种容器中都已广泛采用焊接结构;机座、机身、壳体及各种箱形、框形、筒形、环形构件亦已广泛采用焊接结构.

焊接的工艺方法很多,可分为熔化焊、压力焊和钎焊三大类,如图1-1所示.各种方法适用的厚度范围见表1-12.

图1-1 焊接方法分类

表1-12 各种焊接方法适用的厚度范围

注:1.由于技术的发展,激光焊及等离子焊可焊厚度有增加趋势;

2.虚线表示采用多道焊.

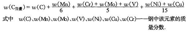
对于不同的材料,在一定的焊接条件下,采用一定的焊接方法,获得优质焊接接头的难易程度叫做材料的可焊性.同一种材料,采用不同的焊接方法及焊接材料,其可焊性可能有很大的差别,并可通过估算和试验方法确定.常用以下公式计算碳素钢及低合金结构钢的碳当量:

碳当量对钢的可焊性的影响如表1-13所示.

表1-13 碳当量对钢的可焊性的影响

有色金属的可焊性一般比钢差.铸铁的碳的质量分数一般在3%左右,还含有一定量的杂质硫、磷和硅、锰等元素,因此铸铁的碳当量很高,可焊性差.

表1-14列出了一些常见材料适用的焊接方法。

表1-14 常用材料适用的焊接方法

注:有△表示被推荐.

采用焊接结构件应注意以下几个问题:

(1)材料的可焊性.如上所述,若必须采用可焊性较差的材料,则应在设计和工艺上采取必要的措施.

(2)结构的刚度和吸振能力.普通钢材的抗拉强度和弹性模量都比铸铁高,但吸振能力则低于铸铁.当用焊接结构代替刚度和吸振性能有高要求的铸铁件时(如机床床身、大型柴油机机身等),不能按许用应力削减其截面,而必须考虑结构的刚度和振动.必要时还应在接头设计中采取增大刚度和阻尼的特殊措施.

(3)焊接应力和变形.必须恰当地设计结构形状、焊缝布置、焊接接头形式、坡口尺寸等,严格控制工艺,以减小焊接应力,控制焊接变形,必要时进行焊后热处理或采取其他消除或减小残余应力的措施.

(4)应力集中.焊接结构截面变化大,设计不当可能产生很大的应力集中,导致结构承载能力下降,甚至失效.在动载或低温工作条件下的高强度结构,更需采取磨削或堆焊等措施,以降低应力集中.

(5)焊接缺陷.在选材及工艺上要考虑尽可能避免焊接缺陷,重要焊缝应进行无损探伤.同时应通过试验确定缺陷的允许标准,避免对焊缝质量提出过高要求而造成浪费.

(6)焊接接头的不均匀性.焊缝及热影响区的化学成分、金相组织和力学性能都有可能不同于母材.在选择焊接材料、制定焊接工艺时,应保证接头性能符合设计要求.

随便看

 

离鸟网收录3541549条中英文词条,其功能与新华字典、现代汉语词典、牛津高阶英汉词典等各类中英文词典类似,基本涵盖了全部常用中英文字词句的读音、释义及用法,是语言学习和写作的有利工具。

 

Copyright © 2004-2024 vtrois.com All Rights Reserved
更新时间:2026/4/20 3:26:31