加热时间按下式计算:

式中 J——钢材加热前后的热焓增量,kJ/kg;
P——钢材密度,kg/m3;
K1——透热系数,对于平板K1=1;对于圆柱体K1=2;
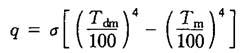
q——热介质传给钢材表面的热流,W/m2,并有:

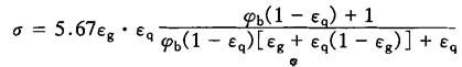
σ——导出辐射系数,W/(m2·K4),并有:

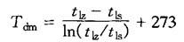
Tdm——对数平均炉温,K,并有:

εg——钢材黑度,一般碳钢εg=0.79;
εq——炉气黑度(见图6-4);
φb——炉壁对钢材的角度系数,并有:

tlz——加热终了炉温,℃;
tls——加热开始炉温,℃.

图6-4 各种燃料燃烧生成气的黑度
图6-4中1~6曲线见表6-7.
表6-7 图6-4中各曲线所代表的燃料性质

图6-4中,Sf为辐射厚度,计算公式为:

式中 V——充满辐射气体区域的容积,m3;
A——该容积总表面积,m2.