网站首页  词典首页


请输入您要查询的字词:

 

字词 热化学计算
类别 中英文字词句释义及详细解析
释义

热化学计算


1.内能U

体系的总能量称为内能U,单位是J或kJ。按热力学第一定律,内能的变化△U=U2-U1

△U=Q-W (1)

dU=δQ-δW (2)

式中Q——体系吸收的热,J或kJ;W——体系对外所作的功,J或kJ。热力学通常遇到的是膨胀功(或称体积功)δW=pdV。dV为体系体积V的微分,p为压力。

当△V=0,即在恒容的条件下,如没有膨胀功以外的功,则W=0,

△U=Qv (3)

Qv——没有膨胀功以外的功时,恒容下体系所吸的热。对化学反应来说,就称为恒容热效应或恒容反应热。所以反应恒容热效应可由内能变化来计算。

2.焓H

焓的定义是

H=U+pV (4)

当△p=0,即在恒压的条件下,如没有膨胀功以外的功,则因W=p△V,按式(1)可知

△H=Qp (5)

Qp——没有膨胀功以外的功时,恒压下体系所吸的热。对化学反应来说,就称为恒压热效应或(恒压)反应热。通常所指的反应热都是这一种,可由△H计算出来。式(5)是计算反应热的基础。

3.热容C

在没有化学反应和相变的条件下,物质温度升高1K所吸之热。物质的量为1mol时,称为摩尔热容。热容与升温时的条件有关。升温时保持体系体积不变称为恒容摩尔热容Cv(J·K-1·mol-1),保持压力不变,称为恒压摩尔,热容Cp(J·K-1·mol-1),一般简称为恒压热容或热容。由于吸收的热量分别等于内能或焓的变化〔见式(3)、(5)〕,所以:

对凝聚相(固、液相),Cv和Cp基本相等,对气相则不相同。热化学计算常用Cp。Cp是温度的函数,通常由实验数据拟合成下列形式:

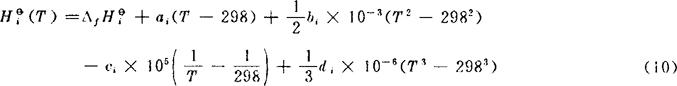
Cp=a+b×10-3T+c×105T-2+d×10-6T2 (8)

a,b,c,d为物质的特性常数,称为物质的热容温度系数。本书表2-1已将各种物质的热容温度系数列出。a,b,c,d的单位分别是J·K-1·mol-1,J·K-2·mol-1,J·K·mol-1和J·K-3·mol-1。不同的相,Cp不同,故热容温度系数也不同。另外,由于热容温度系数为实验数据的拟合值,有一定适用温度范围,所以有时虽未达相变温度,热容温度系数也会改变。例如Co,700-1000与1000-1394K的热容温度系数不同(参阅113页)。本书表2-1已列出物质各相的热容温度系数和适用温度范围,并且以200K的温度间隔按式(8)算出了相应温度的Cp值。

4.物质的摩尔焓和反应热

对某一纯物质Bi,在标准状态下,如298.15K至T的范围内没有相变和化学变化,则

式中为纯物质Bi298K时的标准生成热,即由稳定单质生成1mol纯物质Bi的热效应;(T)为温度T时Bi的摩尔焓。由于不是298K时Bi的焓的绝对值,所以(T)也不是Bi的焓的绝对值,而是规定稳定单质298K时焓为零所算得的相对值。

C,,i以式(8)代入,积分可得:

如298K至T之间有相变,就应加上相变热,并且分段积分。所以一般公式为:

式中为Bi的摩尔相变热,对298K至T范围内的所有相变求和。表2-1中已按上式计算出各种物质的摩尔焓,以H表示,单位为kJ·mol-1,每隔200K列出一个数值,在相变点还列出相应的相变热。应当注意,除298K外,其它温度的(T)与(T)是不相等的。

应用表2-1可求化学反应在不同温度下的焓变(即反应热)AHθ。设反应为

v1B1+v2B2+……→vjBj+…… (12)

式中vi为单质或化合物Bi的计量系数。如参加反应各物质反应前后都在同一温度T,就是说在恒温条件下进行,则

(T)可由表2-1中物质Bi相应温度T中的H查得。如表中没有所要求温度的H,此温度又在适用温度范围之内,就可用内插法求得,如要求准确,也可将数据代入式(11)求得。

在实际中常遇到的反应,往往参加反应的物质温度各异,此时运用表2-1计算过程的AHθ也很方便。设反应为:

v1Bi(T1)+v2B2(T2)+…→vjBj(Tj)+…… (14)

则过程的焓变,即所吸之热为:

查Hi的数据时,分别按该物质Bi的温度Ti查找,然后求和即可。由此可见,利用表2-1的数据和计算方法,对非恒温过程的反应热,计算十分简捷。

〔计算实例〕 求4A1(1)+3O2(g)=2Al2O3(s)1000K时的△Hθ,并求该温度下Al2O2的标准生成热△fHθ(Al2O3,1000K)。

查表得(1000K)=-1597.49kJ·mol-1

HA1(1000K)=30.96kJ·mol-1

Ho2(1000K)=22.54kJ·mol-1

△Hθ=2×(-1597.49)-4×30.96-3×22.54

=-3386.44kJ·mol-1

这里△Hθ的单位中“mol-1”是指反应进度而言的。1mol反应进度就是按反应式系数的摩尔数进行反应的物质的量。本题反应1mol反应进度就是指4molAl(1)与3molO2(g)反应,产生2molAl2O3(s)。

〔计算实例〕 求下列非恒温反应

4H2(298K)+Fe3O4(1400K)=3Fe(1400K)+4H2O(1000K)

的△H。

从表2-1分别查出各物质的H如下:

AH=3×42.51-4×215.80+893.10=157.43kJ·mol-1

〔计算实例〕 求1吨Cu从800K升温至1900K所吸之热。

在表2-1中没有列出Cu1900K的H,由于H与T的关系在温度间隔小时近似为线性,所以可取1800K至2000K的平均值作为近似。查得Hcu(1800K)=56.43kJ·mol-1,Hcu(2000K)=62.71kJ·mol-1其平均值即Hcu(1900K)=59.57kJ·mol-1,另外再查出800K时,Hcu=13.23kJ·mol-1

AH=H(1900K)-H(800K)=46.35kJ·mol-1

1吨Cu吸热量

由此例可看出,利用表2-1的H计算△H时可不用再考虑中间的相变热,从而计算可得到简化。

随便看

 

离鸟网收录3541549条中英文词条,其功能与新华字典、现代汉语词典、牛津高阶英汉词典等各类中英文词典类似,基本涵盖了全部常用中英文字词句的读音、释义及用法,是语言学习和写作的有利工具。

 

Copyright © 2004-2024 vtrois.com All Rights Reserved
更新时间:2026/4/21 21:20:00