网站首页  词典首页


请输入您要查询的字词:

 

字词 烧碱法及硫酸盐法蒸煮黑液的分析
类别 中英文字词句释义及详细解析
释义

烧碱法及硫酸盐法蒸煮黑液的分析


1.分析的意义

黑液分析是制浆过程中不可缺少的项目,从黑液分析结果,可以对蒸煮工艺、制浆过程的成本分析、环境污染程度等作出评价。对有碱回收的厂来说,可为碱平衡及热平衡提供重要参数。碱法及硫酸盐法蒸煮后的黑液,主要测定其中的总碱量及活性碱量。

2.烧碱法及硫酸盐法黑液

(1)总碱量(NaOH+Na2S+Na2CO3)的测定

第一法

吸取10ml黑液移入已称重量的铁或镍坩埚中,再行称重,即试样重。先于低温加热蒸发干燥后,再移入高温炉中,灼烧至800℃使有机物全部烧去。冷却后加入50ml热水洗涤坩锅内全部残渣、过滤于定性滤纸中,用热水洗涤,集滤液及洗液于250ml锥形瓶中,加入1~2滴甲基橙指示剂,用0.1mol/L盐酸标准溶液滴定至恰现红色。

式中:V——滴定时耗用的盐酸量(ml);

N——盐酸标准溶液的浓度(mol/L);

G——黑液重量(g);

D——黑液相对密度;

0.031——与1ml1mol/L盐酸相当的Na2O量(g)。

第二法

取试样5ml,或精确称取试样5g注入磁坩锅中,用甲基橙作指示剂,加1:1盐酸使溶液呈酸性,置水浴上蒸干,再在高温炉中灼烧成灰(约600℃),取出后冷却,移入250ml容量瓶中,并用水稀释混匀后,吸取25ml置于250ml三角瓶中,加入1ml5%铬酸钾指示剂,用0.1mol/L硝酸银标准溶液滴定至溶液呈微砖红色为止。

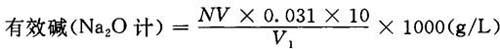
(2)有效碱

吸取25ml黑液于250ml容量瓶中,(待黑液流完后紧靠瓶壁1min)加入20%BaCl2溶液20~40ml(BaCl应过量),轻轻摇荡,再加入已煮沸除去CO2的冷水稀释至刻度、摇匀。待沉淀下沉后,吸取25ml上层清液,加入数滴酚酞指示剂,用0.1mol/L盐酸标准溶液滴定至红色消失为止。

式中:V1——试样体积(ml);

V——滴定时所耗用的盐酸量(ml);

N——盐酸标准溶液的浓度(mol/L);

0.031——与1ml1mol/L盐酸相当的Na2O量(g)。

注意:

①若样品浓度>20%固形物,应称重取样,计算结果应加乘黑液相对密度。

②操作中应先把BaCl2溶液和黑液试样加入容量瓶,再加水稀释,以利于形成大颗粒沉淀。

随便看

 

离鸟网收录3541549条中英文词条,其功能与新华字典、现代汉语词典、牛津高阶英汉词典等各类中英文词典类似,基本涵盖了全部常用中英文字词句的读音、释义及用法,是语言学习和写作的有利工具。

 

Copyright © 2004-2024 vtrois.com All Rights Reserved
更新时间:2026/4/20 11:05:39