网站首页  词典首页


请输入您要查询的字词:

 

字词 灰分的测定(GB/T 14770—1993)
类别 中英文字词句释义及详细解析
释义

灰分的测定(GB/T 14770—1993)


1.原理

试样经干燥、炭化、灼烧、冷却后测定残留物的量。

2.试剂

(1)8%四水乙酸镁溶液:称取8g四水乙酸镁溶于92g水中,混匀。

(2)24%四水乙酸镁溶液:称取24g四水乙酸镁溶于76g水中,混匀。

(3)盐酸溶液:1体积浓盐酸与5体积水混匀。

3.步骤

(1)坩埚的灼烧:将坩埚浸没于盐酸溶液2(3)中,视坩埚的洁污程度加热煮沸10~60min,洗净,烘干,在500℃±25℃高温电炉中灼烧4h。待炉温降至200℃时取出坩埚,移入干燥器中冷却至室温,称量(精确至0.001g)。再次灼烧、冷却、称量,直至恒量(连续两次称量差不超过0.002g)。

(2)称样:灰分大于10%的固体试样称取2g,精确至0.001g;灰分小于10%的固体试样称取3~10g,精确至0.001g;液体试样称取30~40g,精确至0.01g。

(3)测定:

①含磷量较低的谷物食品、果蔬制品、淀粉及淀粉制品、茶叶、发酵制品、调味品。

将盛有试样的坩埚放在电热板上缓慢加热,待水分蒸干后置于电炉或煤气灯火焰上炭化至无烟。移入高温电炉中,升温至550℃±25℃,灼烧4h。待炉温降至200℃时取出坩埚。置干燥器中冷却至室温,迅速称量。再将坩埚移入高温电炉中按上述温度灼烧1h,冷却,称量。重复灼烧1h的操作,直至恒量(连续两次称量差不超过0.002g)。若残渣中有明显炭粒时,向坩埚内滴入少许蒸馏水润湿残渣,使结块松散。蒸干水分后再灰化,直至灰分中无炭粒。

②含量较高的豆类及其制品、肉类制品、蛋制品、水产品、乳及乳制品。

a.称取试样后,加入1.00mL 24%四水乙酸镁溶液或3.00mL 18%四水乙酸镁溶液,使试料完全润湿。放置10min后,在电热板上缓慢加热,将水分完全蒸干。以下步骤按3(3)①操作。

b.量取3份与a条相同浓度和体积的四水乙酸镁溶液,做3次试剂空白试验。当3次试验结果的标准偏差小于0.003g时,取算术平均值。若标准偏差超过0.003g时,应重新做空白值试验。

4.分析结果的表述

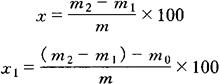
食品中灰分含量以质量百分率表示,按下式计算:

式中 x(测定时未加四水乙酸镁溶液)——含磷较低的食品中灰分含量(质量分数)(%);

x1(测定时加入四水乙酸镁溶液)——含磷较高的食品中灰分含量(质量分数)(%);

m0——坩埚与氧化镁(四水乙酸镁灼烧后生成物)的质量(g);

m1——坩埚与试样灼烧后的质量(g);

m2——坩埚的质量(g)。

计算结果时,灰分大于10%的样品精确至小数点后第1位,灰分1%~10%的样品精确至小数点后第2位;灰分小于1%的样品精确至小数点后第3位。

5.允许差

同一样品的两次测定结果之差:灰分大于10%时,每100g样品不得超过0.2g;灰分等于或小于10%时,不得超过平均值的2%。

随便看

 

离鸟网收录3541549条中英文词条,其功能与新华字典、现代汉语词典、牛津高阶英汉词典等各类中英文词典类似,基本涵盖了全部常用中英文字词句的读音、释义及用法,是语言学习和写作的有利工具。

 

Copyright © 2004-2024 vtrois.com All Rights Reserved
更新时间:2026/4/19 5:32:27