网站首页  词典首页


请输入您要查询的字词:

 

字词 激发极化法
类别 中英文字词句释义及详细解析
释义

激发极化法


10.5.1 基本原理

当供电电极向地下供电时,供电电流不变,测量电极之间的电位差随时间增长会趋于某一饱和值,断电后,在测量电极之间仍然存在着随时间减小的电位差,并逐步衰减趋近于零。这种现象称为“激发极化效应”。激发极化法(Induced Polarization,缩写为IP)就是研究这一效应的方法。

这种由于激发极化效应而产生电场随时间变化的过程分为充电和放电过程,供电后充电过程的电场开始随时间上升快,以后变慢,最后趋于饱和;断电后放电过程的电场随时间衰减很快,以后变慢,最后趋于零。

在不含电子导体的普通岩石、粘土中也存在激发极化现象,它与岩石的湿度、粘土的含量、地下水的矿化度等因素有密切的联系。因而激发极化法可应用于地下水探测、地质工程、环境地质调查工作中,解决地下水水位、岩体含水特征等地质问题。

10.5.2 观测方法

激发极化法常用的装置见表10-6。

表10-6 激发极化法常用装置表

10.5.3 激电常用参数

10.5.3.1 表征岩石激发极化强弱的参数

(1)极化率(η):

式中:△V为一次场电位差(供电时),△V2为二次场电位差(断电时),T为供电时间,t为断电后的电位差记录时间。

(2)充电率(m):

式中:t1t2为断电后测量二次场衰减的两个不同时间。

10.5.3.2 表征激发极化放电快慢的参数

(1)半衰时(St):放电二次场由断电后的最大值衰减到一半时所需要的时间,通常用St表示。

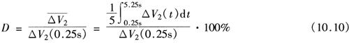
(2)衰减度(D):

式中:△V2(0.25s)为断电后0.25s时电位差;△V2为断电后0.25s至5.25s的5s内二次场电位差的平均值。

10.5.3.3 综合参数

(1)激发比(J):

(2)综合参数(Z):

(3)电阻率(ρs):

式中:K为装置系数,I为供电电流。

(4)相对衰减时(SR):

(5)偏离度(r):实测结果与直线方程的偏离程度。

10.5.4 技术要求

由于激发极化法不受地形起伏及围岩电阻率不均匀性影响,且可充分利用其时间(或频率)特性,此方法适合山区勘查工作,可与同装置的视电阻率测量同步进行。

激发极化法应用条件:①工作区内没有地下埋设管线的影响;②激发源有较大的供电电流;③由于二次场较弱,要求工作区内无较强的干扰电场。

10.5.5 资料解释原则

(1)综合分析多种参数,划分异常并判断异常的可靠性;

(2)研究曲线图,确定各种参数异常反应特征;

(3)结合当地条件,分析引起异常的地质因素;

(4)分析异常位置,确定异常体深度。

10.5.6 成果表达形式

(1)ρs、ηs、St、Z等各种参数曲线图;

(2)剖面平面图;

(3)等值线平面图;

(4)综合平面图。

10.5.7 仪器设备

激发极化法仪器设备见表10-2。

【参考文献】:

长春地质学院水文物编写组.1980.水文地质工程地质物探教程,北京:地质出版社

傅良魁.1983.电法勘探教程,北京:地质出版社

[美]I.S萨姆纳若.1981.地理物勘探的激发极化原理,北京:地质出版社

高等工业学校物理学编写组编.1957.物理学,北京:高等教育出版社(内)

李金铭,罗延钟.1996.电法勘探新进展,北京:地质出版社

煤田电法勘探.1978.北京:煤炭工业出版社

西安地质学院等.1979.电法勘探,北京:地质出版社

阎述,陈明生编着1996.高分辨率地电阻率法探测地下洞体,北京:地质出版社

随便看

 

离鸟网收录3541549条中英文词条,其功能与新华字典、现代汉语词典、牛津高阶英汉词典等各类中英文词典类似,基本涵盖了全部常用中英文字词句的读音、释义及用法,是语言学习和写作的有利工具。

 

Copyright © 2004-2024 vtrois.com All Rights Reserved
更新时间:2026/4/18 23:16:59