网站首页  词典首页


请输入您要查询的字词:

 

字词 漂白工段常用术语和生产计算
类别 中英文字词句释义及详细解析
释义

漂白工段常用术语和生产计算


1.有效氯

漂液氧化能力,相当于多少氯原子的氧化能力以氯表示的量,工业上常用有效氯的含量g/L(克其有效氯/升漂液)来表示漂液的漂白能力。

2.漂率

将纸浆漂到一定的白度时,所需要的有效氯量对纸浆绝干重量的百分率。

漂率与纸浆硬度(KMnO4)可视为直线关系,通常可按下列经验式估计加漂液。

有效氯用量=系数×纸浆硬度-1.012

纸浆硬度(KMnO4值)8~14范围内,漂白浆白度70~75%ZBD,系数取0.668~0.689之间。

3.间歇式浆池漂白所需漂液计算

式中:g——所需液量(m3);

V——漂白机装浆容积(m3);

C1——浆料浓度(%);

K——漂率(%);

C——漂液有效氯浓度(g/L)。

4.氯化用氯量计算

式中:Q——绝对浆通过量(t/h)

K——每t浆通氯量;

P——氯气纯度,一般取99.5%。

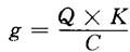
5.碱处理时用碱量

式中:g——加碱量(m3/h);

Q——处理浆量(t/h);

K——用碱量(碱比)%(对绝干浆);

C——NaOH浓度(g/L)。

6.碱液稀释需要水量

V1·N1=V2·N2,V2=V1+W

式中:V1——浓NaOH体积(m3);

V2——需配NaOH体积(m3);

W——需加水量(m3);

N1——浓NaOH浓度(g/L);

N2——需配NaOH浓度(g/L)。

7.漂白过程用水量

①药液稀释用水量

②石灰乳调剂用水量(m3);

③浆料稀释用水量(m3)。以上各式中:

W——稀释用水量(m3·L)

G1——药液量(m3);

G2——有效CaO用量(kg);

C1、C0——稀释前后药液浓度(g/L);

C——石灰乳浓度(g/L);

Q——绝干纤维量(kg)。

8.残氯

漂白终了时,尚残留的有效氯量,常以g/L表示。

9.白度和亮度

亮度和白度是用来检测纸浆或纸的漂白程度,是一项重要的质量指算。我国是以氧化镁板作为测定亮度或白度的标准板,因为新制备出来的纯净氧化镁接近于全白,也即反射率可达到100%。漂白后纸浆的反射率以氧化镁亮度值的百分比来表示,如某一漂白浆亮度为90%,也就是说,这一漂白浆在波长457纳米时的反射率为氧化镁标准板的90%。

从以上定义可以看出亮度是一种物理概念。白度则可定义为人们的眼睛感受到从浆板或纸页折回来的反射光的感觉,是人的一种生理反应。

白度的测定主要对纸有用,因为纸在抄造过程中往往加有染料或颜料,而对纸浆来说,亮度值和白度值应该可以说是一样的。沿袭我国造纸工业的习惯,往往统称亮度为白度。

10.不透明度

浆片或纸张性质之一。不仅与光散射有关,也与光吸收有关。通常用印刷不透明度来表示,即单张浆片在黑背景上的反射度与具有无限厚层的反射度之比。国家标准GB4687-84中不透明度(纸衬底)的定义是在标准状态下测定的从有黑色衬底的单页纸反射的光通量与多层同种纸作衬底时反射的光通量的比值,以百分率表示。

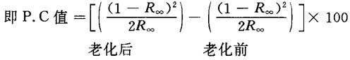
11.返黄

漂后达到一定白度的纸浆,经过一段时间后出现的白度下降叫返黄返色或回色。

纸浆返黄的程度可用P.C值来表示。

式中:K0、K——纸浆老化前,老化后的光吸收系数;

S0、S——浆料老化前、老化后的光散射系数。

纸浆老化的条件,一般是在105℃下加热一定时间。为便于实用,值可由下式求得:

此处,R∞为纸浆的白度,即P.C值可由纸浆老化前,老化后的白度下降值算出。

12.漂损(漂损率)

纸浆经漂白后损失的绝干浆重量对漂前绝干纸浆重量的百分比。

13.漂白得率

漂白得率(%)=1-漂白损失率(%)

14.漂白工艺符号

H——次氯酸盐漂白。第一段次氯酸盐漂白为H1;第二段次氯酸盐漂白为H2,其余同。

E——碱处理或碱抽提。

Eg——氨气的碱处理。

C——氯化、气态氯化用Cg,其余同。

A——酸预处理。

D——二氧化氯漂白。

N——二氧化氮气态漂白。

M——一氧化氯气态漂白。

P——过氧化物漂白。

S——SO2酸化。

O——氧漂。

Z——臭氧漂白。

E0——氧碱漂,或称氧碱抽提。

D/C——二氧化氯与氯混合漂白,以氯为主有时用CD,以二氧化氯为主有时用Dc

HS——连二亚硫酸盐漂白。

Y——Na2S2O4漂白。

W——洗涤。

DTPA——二乙三胺五乙酸。

EDTA——乙二胺乙酸。

15.贮浆池容积的计算

式中:V——贮浆池容积(m3);

K——贮存时间(h),筛后浆池一般贮存4~8h;

Q——每h所需供浆量(t);

C——贮浆浓度(%)。

16.氯化塔设计计算公式如下:

式中:D——塔径(m);

S——设计速度(m/min);

T——日产量(t/d);

V——塔容积(m3)

H——塔高(m)

C——浆浓(%)。

随便看

 

离鸟网收录3541549条中英文词条,其功能与新华字典、现代汉语词典、牛津高阶英汉词典等各类中英文词典类似,基本涵盖了全部常用中英文字词句的读音、释义及用法,是语言学习和写作的有利工具。

 

Copyright © 2004-2024 vtrois.com All Rights Reserved
更新时间:2026/4/18 22:38:12