网站首页  词典首页


请输入您要查询的字词:

 

字词 漂白剂的测定(二氧化硫及亚硫酸盐的测定——可见光分光光度法)
类别 中英文字词句释义及详细解析
释义

漂白剂的测定(二氧化硫及亚硫酸盐的测定——可见光分光光度法)


1.原理

二氧化硫(或亚硫酸盐经加热分解为SO2),被四氯汞钠吸收液吸收后,生成稳定的配合物,再与甲醛和盐酸副玫瑰苯胺作用,生成紫红色络合物,于550nm处有最大吸收,测定吸光度,与标准系列比较后定量。

2.试剂

(1)四氯汞钠吸收液:称取13.6g氯化高汞及6.0g氯化钠,溶于水中并稀释至1000mL,放置过夜,过滤后备用。

(2)氨基磺酸铵溶液(12g/L)。

(3)甲醛溶液(2g/L):吸取0.55mL无聚合沉淀的36%甲醛,加水稀释至100mL,混匀。

(4)淀粉指示液:称取1g可溶性淀粉,用少许水调成糊状,缓缓倾入100mL沸水中,随加随搅拌,煮沸,放冷备用,此溶液临用时现配。

(5)亚铁氰化钾溶液:称取10.6g亚铁氰化钾[K4Fe(CN)6·3H2O],加水溶解并稀释至100mL。

(6)乙酸锌溶液:称取22g乙酸锌[Zn(CH3COO)2·2H2O]溶于少量水中,加入3mL冰乙酸,加水稀释至100mL。

(7)盐酸副玫瑰苯胺溶液:称取0.1g盐酸副玫瑰苯胺(C19H18N2Cl·4H2O)于研钵中,加少量水研磨使溶解并稀释至100mL。取出20mL,置于100mL容量瓶中,加盐酸(1∶1),充分摇匀后使溶液由红变黄,如不变黄再滴加少量盐酸至出现黄色,再加水稀释至刻度,混合备用(如无盐酸副玫瑰苯胺可用盐酸品红代替)。

盐酸副玫瑰苯胺的精制方法:称取20g盐酸副玫瑰苯胺于400mL水中,用50mL盐酸(1∶5)酸化,徐徐搅拌,加4~5g活性炭,加热煮沸2min。将混合物倒入大漏斗中,过滤(用保温漏斗趁热过滤)。滤液放置过夜,出现结晶,然后再用布氏漏斗抽滤,将结晶再悬浮于1000mL乙醚-乙醇(10∶1)的混合液中,振摇3~5min,以布氏漏斗抽滤,再用乙醚反复洗涤至醚层不带色为止,于硫酸干燥器中干燥,研细后贮于棕色瓶中保存。

(8)碘溶液:0.05mol/L。

(9)硫代硫酸钠标准溶液:0.1mol/L。

(10)二氧化硫标准溶液:称取0.5g亚硫酸氢钠,溶于200mL四氯汞钠吸收液中,放置过夜,上层清液用定量滤纸过滤备用。

吸取10.0mL亚硫酸氢钠-四氯汞钠溶液于250mL碘量瓶中,加100mL水,准确加入20.00mL 0.05mol/L碘溶液,5mL冰乙酸,摇匀,放置于暗处2min后迅速以0.1000mol/L硫代硫酸钠标准溶液滴定至淡黄色,加0.5mL淀粉指示液,继续滴至无色。另取100mL水,准确加入20.0mL 0.05mol/L碘溶液,5mL冰乙酸,按同一方法做空白试验。

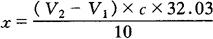
计算

式中 x——二氧化硫标准溶液浓度(mg/mL);

V1——测定用亚硫酸氢钠-四氯汞钠溶液消耗硫代硫酸钠标准溶液体积(mL);

V2——试剂空白消耗硫代硫酸钠标准溶液体积(mL);

c——硫代硫酸钠标准溶液的摩尔浓度(mol/L);

32.03——每毫升硫代硫酸钠[c(Na2S2O3·5H2O)=1.000mol/L]标准溶液相当二氧化硫的毫克数。

(11)二氧化硫使用液:临用前将二氧化硫标准溶液以四氯汞钠吸收液稀释成每毫升相当于2μg二氧化硫。

(12)氢氧化钠溶液(20g/L)。

(13)硫酸(1∶71)。

3.仪器

分光光度计。

4.操作方法

(1)样品处理:

①水溶性固体样品如白砂糖等可称取10g均匀样品(样品量可视含量高低而定),以少量水溶解,置于100mL容量瓶中,加入4mL氢氧化钠溶液(20g/L),5min后加入4mL硫酸(1∶71),然后加入20mL四氯汞钠吸收液,以水稀释至刻度。

②其他固体样品如饼干、粉丝等可称取5~10g研磨均匀的样品,以少量水湿润并移入100mL容量瓶中,然后加入20mL四氯汞钠吸收液,浸泡4h以上,若上层溶液不澄清可加入亚铁氰化钾及乙酸锌溶液各2.5mL,最后用水稀释至100mL刻度,过滤后备用。

(2)测定:吸取0.50~5.0mL上述样品处理液于25mL带塞比色管中。

另吸取0.00、0.20、0.40、0.60、0.80、1.00、1.50、2.00mL二氧化硫标准使用液(相当于0.0、0.4、0.8、1.2、1.6、2.0、3.0、4.0μg二氧化硫),分别置于25mL带塞比色管中。

于样品及标准管中加入四氯汞钠吸收液至10mL,然后各加入1mL氨基磺酸铵溶液(12g/L),1mL甲醛溶液(2g/L)及1mL盐酸副玫瑰苯胺溶液,摇匀,放置20min。用1cm比色皿,以零管调零,于波长550nm处测吸光度,绘制标准曲线。

5.结果计算

式中 m1——测定用样液中二氧化硫的含量(μg);

V——测定用样液体积(mL);

m——样品的质量(g)。

结果表述:报告算术平均值的三位有效数字。

允许误差:相对相差≤10%。

6.说明及注意事项

(1)最适反应温度为20~25℃,高于30℃,测定值偏低,温度低则灵敏低,可适当延长显色时间,如15~16℃时,显色时间需延长为25min,且标准管与样品管需在相同温度下显色。

(2)盐酸副玫瑰苯胺中的盐酸用量对显色有影响,加入盐酸量多,显色浅,加入量少,显色深。所以要按规定进行。

(3)颜色较深的样品,可加样品量10%活性炭脱色。

(4)二氧化硫标准使用液的浓度随放置时间增长而降低,必须临用前用新标定的二氧化硫标准溶液稀释。

(5)亚硝酸对本法有干扰,故加入氨基磺酸铵,使亚硝酸分解:

HNO2+NH2SO2ONH4→NH4HSO4+N2H↓(2O

随便看

 

离鸟网收录3541549条中英文词条,其功能与新华字典、现代汉语词典、牛津高阶英汉词典等各类中英文词典类似,基本涵盖了全部常用中英文字词句的读音、释义及用法,是语言学习和写作的有利工具。

 

Copyright © 2004-2024 vtrois.com All Rights Reserved
更新时间:2026/4/20 4:51:20