网站首页  词典首页


请输入您要查询的字词:

 

字词 滤波电路
类别 中英文字词句释义及详细解析
释义

滤波电路


把脉动直流电转变为平滑的直流电,保留脉动电压的直流成分,尽可能滤除其交流成分,即滤波。具有滤波功能的电路叫做滤波电路或叫滤波器。滤波电路直接接在整流电路后面,滤波电路由电容器,电感器和电阻按照一定的方式组合而成。常用的滤波电路的结构形式如图3-57所示。

电容滤波器

电感滤波器

LC型滤波器

LCπ型滤波器

RCπ型滤波器

图3-57 滤波电路的几种形式

1.电容滤波电路

在各种形式的整流电路输出端接入一个容量很大的电容器,就构成电容滤波电路,如图3-58所示。其有关计算为:

(a)半波整流

(b)全波整流

(c)桥式整流

图3-58 电容滤波电路

(1)输出直流电压计算

半波、全波和桥式整流电路的输出经电容滤波后,其输出直流电压在空载时均为

当有负载时,一般为

UL=(1.0~1.2)U2 (3-222)

式中 UL——输出直流电压(V);

U2——变压器二次侧电压有效值(V)。

(2)整流管的最大反向电压计算

半波和全波整流电容滤波电路中,二极管上的最大反向电压为

桥式整流电容滤波电路中,二极管上的最大反向电压为

式中 UDRm——二极管的最大反向电压(V)。

(3)整流管的正向电流计算

半波整流电容滤波电路中,二极管上的正向电流为

IDF=IL (3-225)

全波和桥式整流电容滤波电路中,二极管上的正向电流为

式中 IDF——二极管的正向电流(A);

IL——输出直流电流(A)。

(4)滤波系数计算

半波整流电容滤波电路的滤波系数为

全波和桥式整流电容滤波电路的滤波系数为

式中 q——滤波系数;

f——电源频率,通常为50Hz;

C——滤波电容(F);

RL——负载电阻(Ω)。

2.LC型滤波电路

LC型滤波电路由电感滤波器和电容滤波器组成,如图3-59所示。脉动电压经过双重滤波的作用,使交流分量大部分被电感滤波器阻止,即使有小的部分通过电感滤波器,再经过电容滤波器,则负载上的交流分量很小,从而达到滤除交流成分,使脉动电压趋于平滑。LC型滤波电路的有关计算为:

(a)半波整流

(b)全波整流

(c)桥式整流

图3-59 LC型滤波电路

(1)输出直流电压计算

半波整流LC型滤波电路的输出直流电压为

UL=0.45U2 (3-229)

全波和桥式整流T型滤波电路的输出直流电压为

UL=0.9U2 (3-230)

式中 UL——输出直流电压(V);

U2——变压器二次侧电压有效值(V)。

(2)整流管的最大反向电压计算

半波整流LC型滤波电路中,二极管的最大反向电压为

全波整流LC型滤波电路中,二极管的最大反向电压为

桥式整流LC型滤波电路中,二极管的最大反向电压为

式中 UDRm——二极管的最大反向电压(V)。

(3)整流管的正向电流计算

半波整流LC型滤波电路中,二极管的正向电流为

IDF=IL (3-234)

全波和桥式整流LC型滤波电路中,二极管的正向电流为

式中 IDF——二极管的正向电流(A);

IL——输出直流电流(A)。

(4)滤波系数计算

半波整流LC型滤波电路的滤波系数为

q=4π2f2LC (3-236)

全波和桥式整流LC型滤波电路的滤波系数为

q=16π2f2LC (3-237)

式中 q——滤波系数;

f——电源频率,通常为50Hz;

L——滤波电感(H);

C——滤波电容(F)。

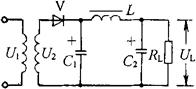
3.LCπ型滤波电路

LCπ型滤波电路由电容滤波器和LC型滤波电路组合而成,如图3-60所示。LCπ型滤波电路较前述两种滤波电路的滤波效果更好,使负载上的脉动电压更平滑。由于LCπ型滤波电路的输入端接有电容,在通电瞬间,因电容器充电,会产生较大的充电电流,所以一般取C1<C2,以减小浪涌电流。

(a)半波整流

(b)全波整流

(c)桥式整流

图3-60 LCπ型滤波电路

LCπ型滤波电路的有关计算为:

(1)输出直流电压计算

半波、全波和桥式整流LCπ型滤波电路的输出直流电压在空载时均为

当有负载时一般为

UL=(1.0~1.2)U2 (3-239)

式中 UL——输出直流电压(V);

U2——变压器二次侧电压有效值(V)。

(2)整流管的最大反向电压计算

半波、全波整流LCπ型滤波电路中,二极管的最大反向电压为

桥式整流LCπ型滤波电路中,二极管的最大反向电压为

式中 UDRm——二极管的最大反向电压(V)。

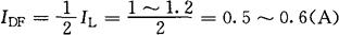
(3)整流管的正向电流计算

半波整流LCπ型滤波电路中,二极管的正向电流为

IDF=IL (3-242)

全波和桥式整流LCπ型滤波电路中,二极管的正向电流为

式中 IDF——二极管的正向电流(A);

IL——输出直流电流(A)。

(4)滤波系数计算

半波整流LCπ型滤波电路的滤波系数为

q=2π3f3LC1C2RL (3-244)

全波和桥式整流LCπ型滤波电路的滤波系数为

式中 q——滤波系数;

f——电源频率,通常为50Hz;

L——滤波电感(H);

C1、C2——滤波电容(F);

RL——负载电阻(Ω)。

[例3-21] 在图3-60(c)所示桥式整流LCπ型滤波电路中,已知C1=800μF,C2=1000 μF,L=4H,RL=12Ω,变压器次级电压的有效值U2=12V,电源频率f=50Hz。求该滤波电路的滤波系数,并选择合适的二极管。

[解] 滤波系数

二极管最大反向电压

输出直流电压

UL=(1.0~1.2)U2=(1.0~1.2)×12

=12~14.4(V)

输出直流电流

二极管正向电流

因此可选用ZCZ55B二极管,其整流电流为1A,最大反向工作电压为50V。

随便看

 

离鸟网收录3541549条中英文词条,其功能与新华字典、现代汉语词典、牛津高阶英汉词典等各类中英文词典类似,基本涵盖了全部常用中英文字词句的读音、释义及用法,是语言学习和写作的有利工具。

 

Copyright © 2004-2024 vtrois.com All Rights Reserved
更新时间:2026/4/19 11:40:09