网站首页  词典首页


请输入您要查询的字词:

 

字词 滤棒物理性能的检验
类别 中英文字词句释义及详细解析
释义

滤棒物理性能的检验


(一)取样

一次交货为一批;一批数量在100箱以下者,随机抽取5箱;数量在100~500箱的,随机抽取10箱;数量在500箱以上的,随机抽取15箱。一批数量在5箱以下的,须从每箱中取样。根据每批数量不同,分别从每箱中任取一盒,从每盒中任取90、45或30支滤棒进行检验。有不符合技术要求的项目,应加倍取样进行复验。

(二)长度检验

1.原理

利用平行光投影的方法,将放大后的像与“标准样板”进行对比,测出试样的长度。

2.试样的采取

醋酸纤维滤棒和聚丙烯丝束滤棒均随机抽取滤棒30支。

在测定前,试样应置于22℃±2℃,相对湿度60%±5%的环境中平衡24h。

3.仪器

测定长度的仪器应满足以下要求:

(1)产生平行光的光学系统。

(2)成像系统:放大倍率20倍。投影处备有标准样板,样板上应有一条基准线和一条测长基线,以保证投影时试料的长度方向与基准线平行,与测长基线垂直。

(3)工作台:应具有放置试料的V型槽及用于定位的挡板,可实现试料的纵横方向移动并备有标尺,准确度0.05mm。

(4)长度标准棒:准确度为0.005mm。

4.方法

(1)接通电源,按照仪器操作规程调整仪器。

(2)根据试样规格,选择相应长度的标准棒,对仪器的标准长度进行校准。

(3)将试样放在工作台的V型槽内,搭口朝向操作者,一端紧靠定位挡板。移动工作台,使试料投影的长度方向与基准线平行,试料另一端面投影线与测长基线重合,从游标尺读取试料的长度值。

(4)读数时,应以试样成型纸切口处为准;若试样端面切口不齐,应取最大值与最小值的平均值。

测量结果用mm表示,精确至0.1mm。

(三)圆周检验

1.光电法

(1)原理:平行光束对试样直径方向径向投影或扫描,由仪器光电接收装置及数据处理系统给出试样的直径/圆周值。

(2)试样的采取:醋酸纤维滤棒和聚丙烯丝束滤棒均随机抽取滤棒50支。

在测定前,试样应置于22℃±2℃,相对湿度60%±5%的环境中平衡24h。

(3)仪器:

光电圆周测定仪应满足以下要求:

①能产生平行光(激光或普通光)的光学系统;

②可以对试样径向至少100次的投影或扫描测定;

③测头:测定过程中,试样连续转动至少180°;

④光电接收装置及数据处理系统;

⑤仪器测定结果准确度:0.1mm。

标准棒,准确度为0.005mm。

(4)方法:

①用标准棒对仪器径向校准。

②将试样置入测头内,使平行光束照射到试样中部。

③试样转动时,对试样进行投影或扫描。

④光电接收装置及数据处理系统给出试样圆周值。

测定结果以多次投影或扫描测定结果的平均值表示,精确至0.1mm。

2.拉带法

(1)原理:测量带环绕试样一周,在一定力的作用下,测定测量带裹紧试样的位移量,由此得出试样的圆周值。

(2)试样的采取:醋酸纤维滤棒和聚丙烯丝束滤棒均随机抽取滤棒50支。

在测定前,试样应置于22℃±2℃,相对湿度60%±5%的环境中平衡24h。

(3)仪器:带式圆周仪应满足以下要求:

①测量带:由轻的、挠性材料制成,且受力时本身不应伸长。

②施力装置:施加在测量带上的力为恒定,且具有可质量复性。力值可在0.06~1.00N之间选择。

③拉动装置:使测量带能实现恒速收缩,速度不高于20mm/s。且控制测量带环绕试样的松紧程度,原则上使测量带接触试样,但不应受压变形。

(4)精密位移传感器:量程20~30mm。准确度:0.01mm。

记录装置:

一组圆周标准棒:准确度为0.001mm。

(5)方法:

①接通电源,预热使其稳定。

②根据试样规格,选择相应的标准棒按仪器操作规程进行校准,使仪器的显示值与标准棒的标称值符合。

③将试样放入测量头,使试样中部位于测量带的测量环内。

④收缩测量带,使其恰好接触试样,经传感器输出由仪器的显示装置打印出试样的圆周值。测定结果以mm表示,精确至0.01mm。

3.气动法

(1)原理:将试样插入圆截面稍大的测头内,通过测头压缩空气作用于试样测出损失的压力,损失的压力与试样的圆周呈正相关。

(2)试样的采取制备:醋酸纤维滤棒和聚丙烯丝束滤棒均随机抽取滤棒50支。

在测定前,试样应置于22℃±2℃,相对湿度60%±5%的环境中平衡24h。

(3)仪器:气动圆周测定仪应满足以下要求:

①气动测微器,能够根据下图所示的原理给出一个数据。

横断面积为A和S的两个小孔串联在恒压H的气路中,存在于两孔之间的压力p直接取决于两个小孔横断面积的比例。它表示为:

A为主气嘴的固定横断面积,压力p只随S而变。p的变化反映了S的变化。此外,如果A相当小,可以看出S的微小变化会造成p很大的变化。

K为所用气动测微器的常量。S为所用测头和试料之间气流流出的横断面。当试料的直径增大时,从这个孔流出的气流减少。一定的出口截面,有一定压力,又相应于一定在直径和圆周,所以压力的标尺可以在水柱(实际测定的是H-p)上直接标定成圆周数值。

②测头:内环的内径:公称直径±0.30mm,外环的内径:公称直径+0.25mm。

应备有几种不同的Cn的测头,它们对应的测量标尺范围有某些重叠,使得操作时总能保证至少有一测头不是使用在标尺的极限。

Cn为测头的公称圆周值,这个数值对应于量程的中点,即仪器的最大灵敏度处。

③测量标尺:有效范围为(Cn-0.7)mm到(Cn+0.7)mm,准确度0.05mm。

一组圆柱形金属量棒,准确度为0.005mm。

(4)方法

①根据试样规格,选用测头圆周Cn最为接近的测定仪器。

②接通气路。

③取三根标准棒,圆周值分别为(Cn-0.7)mm,Cnmm,(Cn+0.7)mm,将标准棒依次插入测头进行校准,使三根棒的校准液面分别与测量标尺上对应的刻线之差不大于3mm。

④插入试样,使试样中部位于测头的中央,待液面稳定后,从测量标尺上读取试样的圆周值。测定结果以mm表示,精确至0.1mm。

(四)吸阻检验

1.原理

在标准状况下,当一个流量为17.5mL/s的稳定气流通过试样时,试样两端的压力差即为试验吸阻。

2.试样的采取

醋酸纤维滤棒和聚丙烯丝束滤棒均随机抽取滤棒50支。

在测定前,试样应置于22℃±2℃,相对湿度60%±5%的环境中平衡24h。

3.仪器

测定吸阻的仪器应满足以下要求:

(1)气流流量:17.5mL/s;

(2)测头:能对试样进行密封测定,测定时试样出口端插入测头内9mm,测试头内应有一层薄膜,在测定时,当薄膜完全包裹测头内的试样,包裹部分的薄膜与试验之间不应有空气通过。

(3)量程≥5kPa,分辨力:10Pa。

(4)测试值显示精度:10Pa。

一组标准棒:两支标准棒标准值相差不小于1kPa;标准棒准确度(相对误差)为1%。

4.方法

(1)接通仪器电源,预热使其稳定。

(2)接通气路。

(3)分别用高、低两支标准棒校准仪器。

(4)把试样全部插入仪器测头内,使测头内薄膜完全包紧试样。

(5)从仪器显示装置获得试样的吸阻值。

测定结果用Pa表示,精确至10Pa。

(五)硬度检验

1.原理

在一定的时间内,试样的径向受到一定压力,试样受压后直径与受压前直径的百分比即为硬度。

2.试样的采取和制备

醋酸纤维滤棒和聚丙烯丝束滤棒均随机抽取滤棒20支。

在测定前,试样应置于22℃±2℃,相对湿度60%±5%的环境中平衡24h。

3.仪器

测定硬度所需要的仪器应满足下列要求:

①一个能对试样施加径向点压的装置,施压负荷2.94N±0.01N,压头Φ12.00mm±0.01mm,压缩时间15s±1s,施压速度0.55mm/s±0.05mm/s。

②量程0~4mm,分辨力0.01mm,准确度0.02mm。

③试样槽:用于固定试样,使试样在受压时不能移动。

标准棒:准确度0.003mm。

4.方法

①接通仪器电源,预热使其稳定。

②用标准棒校准仪器的零点和满度值,使标准棒的标定值与仪器的显示值相符合。

③将已知圆周的试样置于仪器的试样槽内,使试样的搭口朝向操作者。

④驱动仪器施压装置,同时启动计时器。

⑤15s±1s时,除去施压负荷,记录试样的压陷量。

⑥随机选取试样的另外两点进行测定。

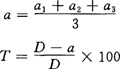
5.计算

按下式计算每支滤棒的平均压陷量和硬度(T),以%表示:

式中 a——每支滤棒的平均压陷量,mm;

a1,a2,a3——每支滤棒的第一点、第二点、第三点的压陷量,mm;

D——压缩前的试样直径,mm。

测定结果用长度%表示,精确至0.1%。

(六)含水率检验

1.原理

试样在规定的烘干温度下烘至恒量时,所减少的质量与试样原质量之比,以%表示。

2.试样的采取

醋酸纤维滤棒和聚丙烯丝束滤棒随机抽取滤棒20支,用剪刀剪成1cm长的小段。

3.仪器

(1)感量为1mg的电子天平或其他称量仪器。

(2)电热鼓风干燥箱:温度波动度±1℃,箱内温度均匀度±2℃。

(3)样品盒:直径约64mm,高约40mm,要求密封性好。

(4)其他工具:硅胶干燥器、手套、剪刀等。

4.方法

(1)接通烘箱电源,打开加热开关及鼓风开关,并使通风口保持在半开状态,箱内温度稳定在100℃±2℃。

(2)打开样品盒盖,置入烘箱中层鼓风干燥30min,加盖取出放入干燥器内,冷却至室温后称量。再立即置入干燥器内。

(3)取出20支滤棒试样,逐支剪成1cm左右的小段,混合均匀后分为2份,分别置于2个已知质量的样品盒内,及时盖好盒盖并立即称量。

(4)打开样品盒盖,置入烘箱中层鼓风干燥,样品盒密度不得大于1个/120cm2;待温度回升并保持在100℃±2℃时开始计时。

(5)计时满2h,加盖取出放入硅胶干燥器内,冷却至室温后称量。

(6)测定人员在测定过程中应戴上细纱手套。

5.计算

滤棒含水率按下式计算:

式中 w——滤棒含水率,%;

m1——烘前滤棒质量,g;

m2——烘后滤棒质量,g。

滤棒含水率的测定结果,以2份平行试验结果的平均值表示,精确至0.01%。若2平行结果间的绝对差大于0.30%,则应重新抽样试验。

(七)圆度测定

1.原理

利用平行光投影的方法,分别测量滤棒上某处通过搭口的直径值和与之垂直的另一条直径值,两条直径之差即为圆度。

2.试样的采取

醋酸纤维滤棒和聚丙烯丝束滤棒均随机抽取滤棒20支。

在测定前,试样应置于22℃±2℃,相对湿度60%±5%的环境中平衡24h。

3.仪器

测定滤棒圆度用的仪器应满足以下要求:

①能产生平行光的光学系统。

②试样插座:能够较紧密地固定试样,并可随意调节随意的插入长度;转动角度不小于360°,并可确定每转动90°的位置;随意插入插座后,随意长度方向应与光线投影方向垂直。

③可以显示或记录测定结果的装置。

④准确度:0.05mm。

4.方法

(1)将试样插入插座内,使平行光线照射到试样某一点上。

(2)转动试样插座,使光线照射方向与滤棒搭口的中心线相切,然后记录该位置的直径D1,精确至0.05mm。

(3)试样插座转动90°,记录相应的直径D2,精确至0.05mm。

(4)选取试样的另外一点,重复(1)~(3)步骤。

5.计算

按下式计算每支滤棒的圆度:

式中 D1,D2——第一点两条直径值,mm;

D′1,D′2——第二点两条直径值,mm。

测定结果以mm表示,精确至0.1mm

(八)外观检验

1.原理

用目测和钢尺检验滤棒的外观质量。

2.试样的采取

醋酸纤维滤棒和聚丙烯丝束滤棒均随机抽取滤棒100支。

3.仪器

(1)钢尺:量程≥150mm,分辨力:0.5mm,准确度:0.05mm。

(2)圆柱形毫米尺:直径:2.5mm,在0.3mm处应有一刻度线,准确度0.05mm。

4.方法

(1)目测滤棒两端有无毛渣、裂口、胶孔。

(2)用刀片纵向剖开切口斜面的滤棒,取出丝束,展开成型纸,过端面线最低点做一条与搭口垂直的基准线,用钢尺测量端面线到基准线的最大高度。

(3)用圆柱形毫米尺测量滤棒两端最大下陷深度是否超过刻度线。

(4)目测薄膜有无皱褶、破损,搭口有无翘边。

(5)用钢尺测定薄膜不洁点的最大长度,并统计数量。

(6)用钢尺长度弯曲滤棒的最大拱高。

(7)用刀片沿搭口纵向刨开滤棒,分离成型纸和丝束检查成型纸上有无粘接线。

(8)用两手拇指与食指分别捏着滤棒两端,轻轻扭转90次,目测搭口有无爆开。

测量结果用mm表示,精确至0.5mm。

随便看

 

离鸟网收录3541549条中英文词条,其功能与新华字典、现代汉语词典、牛津高阶英汉词典等各类中英文词典类似,基本涵盖了全部常用中英文字词句的读音、释义及用法,是语言学习和写作的有利工具。

 

Copyright © 2004-2024 vtrois.com All Rights Reserved
更新时间:2026/4/18 10:18:31