网站首页  词典首页


请输入您要查询的字词:

 

字词 渡槽的结构计算
类别 中英文字词句释义及详细解析
释义

渡槽的结构计算


(一)荷载种类及组合

一般划分为基本荷载和特殊荷载。

1.基本荷载

(1)恒载,包括结构自重、固定设备重、土重及土压力;

(2)槽内水重及水压力;

(3)作用于槽台、墩(架)的动、静水压力;

(4)交通桥上的人群、车辆荷载;

(5)风载荷。

2.特殊荷载

(1)地震力;

(2)漂浮物对墩台的冲击力;

(3)温度变化及混凝土收缩引起的内力;

(4)施工、运输、安装时的静、动荷载及外力等。

(二)矩形槽身结构计算

1.纵向结构内力分析 根据纵向支承情况(简支或双悬臂),计算其弯矩和剪力。

(1)纵向计算荷载组合

设计条件:

槽身自重+水重(设计水位)+人群荷重

校核条件:

①槽身自重+水重(加大流量水位)+人群荷重;

②设计条件荷载+因温度变化槽身伸缩而产生的摩擦力

(2)纵向内力计算

①简支梁受均布荷载时的跨中弯矩及支座剪力(图2-7-18a)。

②双悬臂梁受均布荷载时的弯矩及剪力(图2-7-18b)

图2-7-18 纵向内力分析

式中 q——槽身单位长度荷重(N/m)

l——支座之间的距离(m)

a——悬臂长度(m)

弯矩及剪力求出后,对于矩形渡槽,可将侧墙作为纵梁考虑,梁截面为矩形或T形,按受弯构件计算其纵向正应力及剪应力,进行配筋和抗裂或裂缝开展宽度的验算。

2.槽身横断面的内力分析

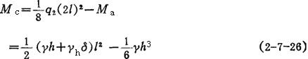
(1)无拉杆的矩形槽 由侧墙与底板整体浇筑,侧墙为固结于底板上的悬臂板,近似按受弯构件计算(忽略轴向力影响),其下部最大弯矩为:

底板两端承受侧墙传来的负弯矩Ma、Mb和轴向拉力Na及Nb(Na=Nb=γh2),如图2-7-19所示,则跨中正弯矩为:

图2-7-19 无拉杆矩形槽计算简图

式中 δ——底板厚度(m)

γh——钢筋混凝土重度(kN/m3)

2l——计算跨度,取两侧墙厚度中心线距离(m)

槽中水深h是变化的,求Mc最大值时,可以将h作变量,利用该截面剪力为零的条件求得,=Q=0即

得 h2=l2 h=l

即当水深为计算跨度之半时,跨中产生最大正弯矩值,以此水深计算弯矩及轴向拉力Na,按偏心受拉构件配置槽底中部的横向钢筋。

在槽身横向配筋计算中,应考虑侧墙与底板交接处补角的影响,才是经济合理的。侧墙竖向和底板水平方向受力筋,按A-A和C-C截面受力要求配置(图2-7-20),侧墙和底板斜筋按B-B和D-D截面计算,取大者配置钢筋。侧墙和底板临水面的横向受力筋与斜筋应按图2-7-20所示,分别布置,并保持一定的锚着长度,切忌将三根钢筋用一根折线形钢筋来代替。

图2-7-20 侧墙底部受拉时的钢筋布置图

(2)有拉杆的矩形槽 侧墙底部与底板跨中的最大弯矩均发生在满槽水深情况下,近似地将水位取至拉杆中心线处。为了简化计算,所有荷载均作用于槽壁和底板厚度的中心线上,如图2-7-21b所示。由于槽身结构形状和荷载对称于断面中心线,可以沿中心线切开,取一半计算(图2-7-21c)。可按力矩分配法或变位法进行计算。

图2-7-21 有拉杆矩形槽计算简图

(三)重力式墩墩身应力验算

1.抗滑稳定验算 为了保证渡槽沿地基面抗滑稳定性,必须保证满足下式要求:

式中 ΣNi——所有垂直方向作用力的总和(kN)

ΣPi——所有水平方向作用力的总和(kN)

f——摩擦系数,由表2-7-15查得

表2-7-15 混凝土或砌石与地基土的摩擦系数f值

KO——稳定安全系数,与建筑物级别及荷载组合情况有关,Ko不应小于表2-7-16中所规定的数值

表2-7-16 稳定安全系数

注:特殊组合Ⅱ是指遭遇地震时的荷载组合,特殊组合Ⅰ是指除Ⅱ以外的其他特殊组合。

从公式2-7-28中可以看出,对稳定最不利的工作条件是ΣPi最大、ΣNi最小时,即空槽有风、有动水压力及飘浮物撞击力的情况。其具体荷载如图2-7-22。

图2-7-22 作用于渡槽上的荷载

ΣNi=槽身自重N2+槽墩自重N3(水面下用浮容重)+基础自重N4(水面下用浮容重)+基础上的填土重N5(水面下用浮容重)

ΣPi=风压力P1(作用于槽身)+风压力P2(作用于槽墩)+动水压力P3+飘浮物撞击力P4

在地震区,水平方向荷载只考虑地震力,对动水压力、风压力、飘浮物撞击力等均不考虑;垂直方向荷载按空槽情况考虑。

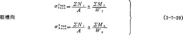
2.地基承载力验算 在外荷载作用下,槽墩基底的地基应力可按偏心受压公式计算:

横槽向

式中 σymax、σxmax、σymin、σxmin——基底在横槽向及顺槽向的最大地基应力(取正号)及最小地基应力(取负号)(kPa)

ΣNi——基底截面以上所有垂直方向荷载的总和(kN)

A——基底截面面积,A=Bl(图2-7-22)(m2)

ΣMy、ΣMx——所有计算荷载对基底截面形心轴y及x的力矩(图2-7-22)(kN·m)

Wy、Wx——基底的截面模量,Wy=Bl2(m2)

按2-7-29公式求得的最小地基应力,一般不容许出现负值外,同时还应满足下式要求:

式中 σ——基底的平均地基应力,σ=

R——考虑基础宽度及埋置深度的影响,经过修正后的地基土容许承载力,其数值可根据《工业与民用建筑地基基础设计规范》的规定选用

在地基稳定计算中,当地基应力不容许出现拉应力时,不可能产生倾覆,所以在满足地基稳定的条件下,一般不作抗倾稳定验算。

(四)排架结构计算

对于无结点线变位的刚架和有结点线变位的单跨对称刚架的计算,通常采用力矩分配法;对于有节点线变位刚架的计算,当独立的节点线变位较少时,可联合采用变位法和力矩分配法;如独立节点线变位较多时,则应采用迭代法或有限单元法。

随便看

 

离鸟网收录3541549条中英文词条,其功能与新华字典、现代汉语词典、牛津高阶英汉词典等各类中英文词典类似,基本涵盖了全部常用中英文字词句的读音、释义及用法,是语言学习和写作的有利工具。

 

Copyright © 2004-2024 vtrois.com All Rights Reserved
更新时间:2026/4/18 19:23:48