逼近论和解析数论的重要工具。
其基本思想是利用一个简单函数系去逼近一个复杂的函数,并使之逼近到任意精确的程度。因此,渐近展开方法在理论和实际计算中都有重要应用。
设{φn(x)}(n=0,1,2,…)为一函数序列,它满足下列条件:φ1(x)=0(φ0(x)),φ2(x)=0(φ1(x)),…(x→∞),设存在一列常数C0,C1,C2,…使得函数f(x)有以下的估计
f(x)=o(φ0(x)), (x→∞);
f(x)=c0φ0(x)+o(φ1(x)), (x→∞);
f(x)=c0φ0(x)+c1φ1(x)+o(φ2(x)), (x→∞);
…………

…………
显然,上式是一个逐次精密的过程,如果上式成立,则记
f(x)≈c0φ0(x)+c1φ1(x)+c2φ2(x)+…,
(x→∞)
并称右式为f(x)关于函数列{φn(x)}的渐近级数或渐近展开,例如,函数
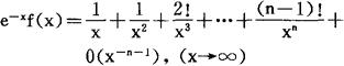
,利用分部积分法,可以得到exf(x)关于函数列
的渐近级数是
,并有以下估计式成立

在渐近展开中,最简单最重要的是取φn(x)=x-n,(n=0,1,2,…)的情形,对此种情形,渐近展开的意义可表述如下:设函数F(x)与级数
的第n个截断
之差
,对于任意固定的n都满足条件
,则称级数
是函数F(x)的渐近展开或渐近级数,并记为
F(x)≈C0+C1X-1+C2X-2+…
显然,一个函数的渐近级数并不一定收敛到该函数,甚至它可以是发散的。渐近展开还有以下重要性质:(1)(唯一性)若
,且
,则必有Cn=Bn(n=0,1,2,…)(2)若
,
,则
,
,其中
;(3)若
则
;(4)若
,则
。