网站首页  词典首页


请输入您要查询的字词:

 

字词 混凝土配合比设计的工程实例
类别 中英文字词句释义及详细解析
释义

混凝土配合比设计的工程实例


【例5-1】某单位办公楼钢筋混凝土梁(室内干燥环境),梁截面的最小尺寸为250mm,钢筋的最小间距为60mm。混凝土设计强度等级为C30,采用42.5普通硅酸盐水泥,水泥密度为3.1g/cm3;砂子采用中砂,表观密度为2.65g/cm3,堆积密度为1500kg/m3,施工现场含水率为3%;石子采用碎石,表观密度为2.70g/cm3,堆积密度为1560kg/m3,施工现场含水率为1%;混凝土采用机械搅拌、振捣,施工单位无混凝土强度标准差的统计资料。

试根据以上所知条件,计算混凝土的初步配合比、确定实验室配合比和施工配合比。

【解】

(一)计算混凝土初步配合比

1.确定混凝土的配制强度fcu,o

由于施工单位无混凝土强度标准差的统计资料,查表5-58得σ=5.0MPa;当强度保证率为95%时,t=1.645;将σ,t,fcu,k=30代入式(5-6)得:

fcu,o=fcu,k+tσ=30+1.645×5.0=38.23(MPa)

2.确定混凝土的水灰比(W/C)

由水泥的强度等级为42.5MPa,水泥的富余系数为1.13,则水泥的实际强度fc=42.5×1.13=48.03(MPa);由粗骨料采用碎石,A=0.46,B=0.07,将以上数据代入式(5-8)得:

查表5-59可知,在干燥环境中满足钢筋混凝土耐久性要求的最大水灰比为0.65,由于0.65>0.56,所以为满足混凝土配制强度的要求,混凝土的水灰比应取

3.确定1m3混凝土的用水量(W0)

为查表得出单位用水量,首先应计算粗骨料的最大粒径。根据国家标准《钢筋混凝土设计规范》(GB50010-2002)中的规定,粗骨料的最大粒径不超过构件截面最小尺寸的1/4,且不得大于钢筋间最小净距的3/4,可得到:Dmax=1/4×250=62.5(mm),Dmax=3/4×60=45(mm)。因此,粗骨料的最大粒径应选用Dmax=40mm,即采用粒级为5~40mm的碎石骨料。

根据钢筋混凝土梁截面最小尺寸为250mm,属于中型截面梁,查表5-57,混凝土坍落度可选用30~50mm。

根据以上所确定的粗骨料最大粒径Dmax=40mm、施工所需的坍落度为30~50mm,查表5-60,可确定1m3混凝土中的用水量W0=175kg。

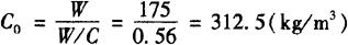
4.确定1m3混凝土的水泥用量(C0)

根据以上计算确定的水灰比和查表求得的用水量,可用式(5-9)计算水泥用量(C0):

查表5-59可知,本工程(室内干燥环境)要求的最小水泥用量为260kg/m3,为满足混凝土配制强度的要求,混凝土的水泥用量应取C0=312.5kg/m3

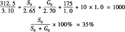
5.选取混凝土的合理砂率(SP)

根据采用的碎石最大粒径Dmax=40mm、确定的水灰比为0.56,用内插法查表5-61可得,混凝土合理砂率范围为31%~36%,考虑到碎石的粒径较大,为保证填满粗骨料之间的空隙,取砂率稍大一些,即SP=35%。

6.计算1m3混凝土中的砂(S0)、石子(G0)用量

(1)采用绝对体积法

取α=1.0,根据式(5-10)和式(5-11),可列出以下两个方程式:

解方程组得:S0=670kg;G0=1245kg。

(2)采用假定表观密度法

普通混凝土拌合物的表观密度,一般在2350~2450kg/m3范围内,采用假定表观密度法计算砂石用量,若施工水平一般可取2400kg/m3。根据式(5-12)和式(5-11),可列出以下两个方程式:

解方程组得:S0=663kg;G0=1233kg。

两者计算结果非常接近,若以绝对体积法计算结果为准,混凝土的初步配合比为:1m3混凝土中水泥330kg、水175kg、砂子665kg、碎石1235kg,或水泥∶水∶砂∶石子=1∶0.53∶2.02∶3.74。

(二)确定实验室配合比

1.进行和易性调整

按确定的初步配合比配制15L混凝土进行试拌,各种材料的用量分别为:水泥=330× 0.015=4.95kg,水=175×0.015=2.625kg,砂=663×0.015=9.495kg,石子=1233×0.015=18.495kg。按照规定的方法拌合后,测得混凝土拌合物坍落度为15mm,小于施工所需的坍落度30~50mm,所以需进行坍落度的调整。

根据混凝土坍落度调整的原则,保持其水灰比不变,增加水泥和水用量各5%,即水泥用量为4.95×1.05=5.20kg,水的用量为2.625×1.05=2.76kg,砂和石子的用量不变。经重新拌合后,测得的坍落度为35mm,且黏聚性和保水性良好,调整后的混凝土和易性满足设计要求。调整后混凝土各种材料的用量为:水泥5.20kg,水2.76kg,砂9.495kg,石子18.495kg,实测混凝土拌合物的表观密度为2450kg/m3

2.进行强度复核

按和易性调整后的混凝土配合比,保持用水量和砂率不变,采用水灰比为0.48、0.53和0.58配制三组混凝土试件,标准养护28d测定抗压强度。经检验水灰比为0.53的配合比,能同时满足混凝土和易性和强度的要求,故以上的基准配合比就是实验室配合比。因此,可根据式5-13、式5-14、式5-15和式5-16计算出1m3混凝土中各种材料的用量:

本工程的实验室配合比为:

C∶W∶S∶G=354.38∶188.09∶647.09∶1260.44=1∶0.53∶1.826∶3.556

(三)计算混凝土施工配合比

根据现场砂的含水率为3%,石子的含水率为1%,用式5-17、式5-18、式5-19和式5-20可计算出1m3混凝土中各种材料的实际称量:

C′=354.38kg

S′=647.09×(1+3%)=666.50kg

G′=1260.44×(1+1%)=1273.04kg

W′=188.09-666.50×3%-1260.44×1%=155.49kg

故该钢筋混凝土梁所用混凝土的施工配合比为:

C′∶W′∶S′∶G′=354.38∶155.49∶666.50∶1273.04=1∶0.439∶1.881∶3.592

随便看

 

离鸟网收录3541549条中英文词条,其功能与新华字典、现代汉语词典、牛津高阶英汉词典等各类中英文词典类似,基本涵盖了全部常用中英文字词句的读音、释义及用法,是语言学习和写作的有利工具。

 

Copyright © 2004-2024 vtrois.com All Rights Reserved
更新时间:2026/4/18 17:20:04