网站首页  词典首页


请输入您要查询的字词:

 

字词 混凝土及钢筋混凝土工程
类别 中英文字词句释义及详细解析
释义

混凝土及钢筋混凝土工程


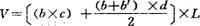
①现浇混凝土及钢筋混凝土带形基础 如图2-23所示,其计算公式为:

图2-23

式中 b-宽;b′-梯形上宽;c-底高,d-梯形高;L-长。

②现浇钢筋混凝独立基础 为截锥式柱基,如图2-24所示,其计算公式为:

图2-24

又独立棱台柱基,计算公式为:

图2-25

式中 H-高;S1-上面积;

S-下面积。

③预制钢筋混凝土杯型基础。如图2-26所示。其计算公式为:

图2-26

④满堂基础 满堂基础包括:无梁式、有梁式、箱式等形式。满堂基础均按实体积以立方米为计量单位计算。

a.无梁式满堂基础 形式似无梁板倒转,其倒转后的柱帽应列入基础部分计算。其计算公式为:

V=(底板长×板宽×板厚)+柱帽体积

式中 柱帽体积是截头矩形角锥体体积:

b.有梁式满堂基础 即似倒置的肋形楼板或井字楼板,其工程量按板和梁(肋)体积合并计算。其计算公式为:

V=(板长×板宽×板厚)+梁截面面积×梁长

c.箱式满堂基础 是由盖板、底板和纵横交叉的隔板所组成。其工程量按盖板、底板、墙板、柱的实体积计算。其计算公式为:

图2-27

∑V=盖板+底板+墙板+柱+……

注:素混凝土及钢筋混凝土应分别计算。

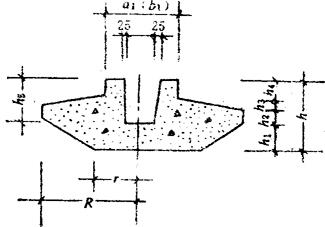
⑤现浇无筋倒圆台基础 图2-28所示。其计算公式为:

图2-28

式中 a-柱长边(m);-杯口外包长边(m);

R-底最大半径(m);

r-底面半径(m);

b-柱短边(m);

b1-杯口外包短边(m);

h、h1=5-截面高度(m)

π-3.1416。

⑥现浇钢筋混凝土倒圆锥形薄壳基础(图2-29所示),其计算公式为:

图2-29

V=V1+V2+V3

Vi(薄壳部分)=π(R1+R2)σh1cosθ

V3(圆体部分)=πR22h2

⑦预制钢筋混凝土柱

a.圆形柱的体积的计算式:

V=πr2h(m3)

表2-15 无筋倒圆台基础体积参考表

式中 r-圆柱的半径(m):

h-柱的高度(m)。

b.离心式空心柱的体积计算式:

V=0.7854×(D2-d2)h

式中 D-管柱外直径(m);

d-管柱内直径(m)

h-柱的高度(m)

c.I形柱的体积,如图2-30所示,其计算式为:

图2-30

V=〔{(bi×hi)×2}+{h-hi×2)×b}〕h

式中 bi-翼宽度;

h-翼高厚;

hi-翼厚;

b-腹板厚。

⑦现浇钢筋混凝土柱 现浇柱包括各种形状的柱和抗震构造柱,其工程量均按实体积以立方米为计量单位计算,依附于柱上的牛腿体积,并入柱体积中,其计算公式如下:

V=(柱高×柱截面面积)+牛腿体积

式中 柱截面面积按图示尺计算。

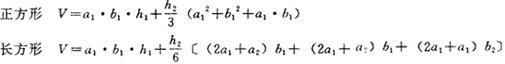
正方形面积:S=a2

长方形面积:S=a×b

圆形面积:S=πr2

正多边形面积:

式中 n-为边数;

a-为边长;

r-为内接圆半径。

⑧柱上牛腿 柱上牛腿的体积并入柱体中,牛腿体积见表2-16,其计算公式为:

图2-31

表2-16 钢筋混凝土牛腿体积表 单位:m3/个

式中 a、b-牛腿长、短边;

H1、H2-牛腿高度。

⑨现浇钢筋混凝土梁 现浇梁包括圈梁、过梁、单梁、连续梁等。现浇梁按初体积以立方米为单位计算。各梁的长度计算:

梁与柱交接时,梁长应按柱与柱之间的净距计算;次梁长度算至柱侧或主梁侧面净长。

梁与墙交接时,伸入墙内的梁头应包括在梁的长度内计算。

圈梁的长度,外墙上的圈梁以外墙中心线长度为圈梁长;内墙上的圈梁以内墙净长线长度为圈梁长;若圈梁过门、窗洞口有上下边时,还要加上下边高度。

过梁长度按图示尺寸计算,若无规定其长度按门窗洞口宽度两端加500毫米计算。

梁头处若有现浇垫块时,其体积并入梁内计算。

现浇梁的计算公式为:

V=梁长×梁截面面积

⑩现浇钢筋混凝土楼板现浇板包括:有梁板、无梁板、平板。其工程量均以立方米为计量单位计算。

a.有梁板 系指梁(包括主、次梁)与板成一体的楼板。有梁板体积按梁和板体积之和计算。其计算公式为:

V=板长×板厚×板宽+主(次)梁体积-柱所占体积

b.无梁板 系指不带梁,直接用柱帽支承的板。无梁板体积按板和柱帽体积之和计算。其计算公式为:

V=板长×板宽×板厚+柱帽体积

式中 柱帽体积为截头矩形角锥体积,其体积计算公式为:

c.平板 系指无梁、无柱,直接由墙承重的板。其计算公式为:

V=板长×板宽×板厚

⑾现浇钢筋混凝土雨篷 按伸出墙外(宽为b,长为l)的水平投影面积,嵌入墙内的梁按相应定额计算。

图2-32

A=b×l

式中 A-水平投影面积;

b-宽;

l-长。

⑿现浇钢 (预制)筋混凝土阳台按伸出墙外的水平投影面积计算。预制楼板与阳台板连接时按外墙外边线为界,分别计算(图2-33)。阳台计算公式为:

图2-33

A=b×l

⒀预制钢筋混凝土方桩 预制桩的长度,按包括桩尖的全长计算。其计算公式为:

V=桩长(包括桩尖)×桩截面面积

随便看

 

离鸟网收录3541549条中英文词条,其功能与新华字典、现代汉语词典、牛津高阶英汉词典等各类中英文词典类似,基本涵盖了全部常用中英文字词句的读音、释义及用法,是语言学习和写作的有利工具。

 

Copyright © 2004-2024 vtrois.com All Rights Reserved
更新时间:2026/4/20 4:24:09