网站首页  词典首页


请输入您要查询的字词:

 

字词 混凝土使用模板摊销量计算
类别 中英文字词句释义及详细解析
释义

混凝土使用模板摊销量计算


①现浇混凝土模板摊销量计算方法

则周转使用量=一次使用量×K1 ④③+④代入①

则摊销量=一次使用量×K2 ⑤以④式:

为了简化计算工作,根据上述公式,按模板周转次数、每次损耗率,计算出来模板的K1K2、1/K系数如表7-31。

上述模板摊量计算式比较繁琐,式中未知数太多,计算不便。根据各地区,不分现浇和预制,均按下列简化式计算:

表7-31

计算模板的K1K2、1/K系数表

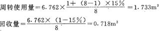
〔计算例〕 现浇钢筋混凝土柱,根据设计柱的截面,每10m3所需模板的接触面积为81m2,每10m2接触面积需模板材0.795m3,模板的损耗系数为1.05,周转次数为8次,每次周转补损率为15%。试计算该柱的每m3模板一次使用量、周转使用量、回收量和摊销量各多少?

解:一次使用量=81×0.795×1.05=6.762m3

摊销量=6.762×0.2085=1.409m3

②预制构模板摊销量计算方法

〔计算例〕 预制钢筋混凝土托架梁,每10m3分项工程量用模板16.155m3木材,若模板周转次数为15次,则摊销量为:

随便看

 

离鸟网收录3541549条中英文词条,其功能与新华字典、现代汉语词典、牛津高阶英汉词典等各类中英文词典类似,基本涵盖了全部常用中英文字词句的读音、释义及用法,是语言学习和写作的有利工具。

 

Copyright © 2004-2024 vtrois.com All Rights Reserved
更新时间:2026/4/19 11:37:33