CES生产函数
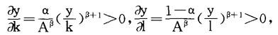
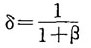
设y为产量,l为劳动投入量和k为资本投入量,如果生产技术表现为: y=A[αk-β+(1-α)l-β]-1/β 其中0<α<1,-1<β<∞,A>0,则称它为CES生产函数。 它有如下性质 (1)对λ>0有: A[α(λk)-β+(1-α)(λ1)-β]1/β =λA[αk-β+(1-α)1-β]-1/β 故它是一阶齐次的生产函数。 (2)由于  故它的要素边际产品为正。 (3)要素的替代弹性:  即要素的替代弹性δ为常数,这就是不变替代弹性(constant elasticity of substitution,简写为CES)生产函数名称的来源。 (4)当β→-1时,y趋于线性函数。 (5)当β→0时,y趋于柯布-道格拉斯生产函数。 (6)当β→∞时,y趋于里昂惕夫生产函数。 |