假定效用函数u(x)是二次连续可微分的,x∈X是消费丛,需求函数ψ(p,ω)定义为
ψ(p,ω)={x∈Xpx≤ω,若px′≤W则x=x′或非x′=x}
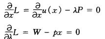
其中价格p和财富ω是预先给定的.那么经典最大化问题max{u(x)x∈X,px=ω}的解就是x0=ψ(p,ω)。考虑对应的拉格朗日函数,由极值的一阶条件得到

对应于解x0=ψ(p,ω),可以解出λ的解
。用U表示u的海赛矩阵,U0为U在x0=ψ(p,ω)的值,一阶条件就化为
U0dx-λ0dp-pdλ=0
dω-pdx-x0dp=0
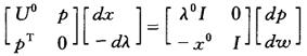
写成矩阵形式就是

其中I是单位矩阵(K阶),这就是消费者需求基本矩阵方程。