网站首页  词典首页


请输入您要查询的字词:

 

字词 海盐制卤工艺解析计算
类别 中英文字词句释义及详细解析
释义

海盐制卤工艺解析计算


设:某盐场生产面积为A;灌池卤水浓度为B1(Bé),深度为h1,密度为ρ1;生成卤水浓度为B2(Bé),深度为h2,密度为ρ2;平均日蒸发量为e,平均日渗透量为K,纯水密度为ρ0;蒸发天数为t;并假定,某一时刻池中卤水含盐量为M,在dt时间内总盐量变化为dM。根据制盐物理过程,可得如下微分方程:

通过一系列换元、变换和求导,可得:

式中 B1——灌池卤水浓度

B2——生成卤水浓度海盐工艺计算中的B1、B2、e、K、t、h1等6个量,已集中在(8-2-7)式中;只要已知其中5个量,即可方便地求解另一个任意量。

但在求导公式8-2-7过程中,系假定卤水蒸发量E=et,卤水渗透量K=Kt,不随时间而变化;实际上在海盐生产过程中,e和K都是变量。所以严格地说,只有在浓度差别不大时,8-2-7式对工艺计算才有实际意义;而在浓度差别较大时,8-2-7式仍有局限性。为了使该式可一步计算出由海水至饱和卤整个过程中任意浓度差之间的各项工艺数据,需引入一些新的物理量。设:

单位时间淡水蒸发量为e0

淡水渗透量为K0

卤水随浓度改变的蒸发系数为F(B);

卤水随浓度改变的渗透系数为K(B);

则海盐生产过程中卤水体积变化为:

dx=de·F(B)+dK·K(B)=〔e0·F(B)+K0·K(B)〕·dt (8-2-8)

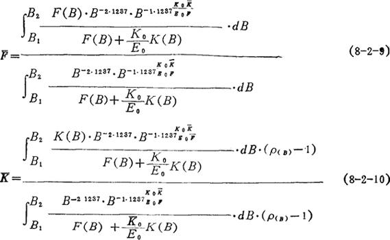
对以上微分方程进行一系列积分更换和推导,并引入在蒸发和渗透同时发生条件下的平均蒸发系数和平均渗透系数这两个物理量,则可得:

联求解上述积分方程组(8-2-9)、(8-2-10),即可求得在任意起止浓度下(如2°Bé~25.4°Bé),同时考虑蒸发和渗透的平均蒸发系数和平均渗透系数。梁胜予同志分别用Fortran和Basic两种语言,编制了求解上述方程组的专用软件,命名为《海盐工艺理论系统》(“HYLLXT”),用计算机可方便地求出值,进而算出E和K值,使运用(8-2-7)式进行制卤过程任意浓度差之间的工艺计算问题迎刃而解。没有微型计算机的单位可把在各种浓度差和一定蒸渗比值条件下的事先计算出一张表,工艺计算时只需从表查出任意起止浓度再代入公式(8-2-7)即可计算。

随便看

 

离鸟网收录3541549条中英文词条,其功能与新华字典、现代汉语词典、牛津高阶英汉词典等各类中英文词典类似,基本涵盖了全部常用中英文字词句的读音、释义及用法,是语言学习和写作的有利工具。

 

Copyright © 2004-2024 vtrois.com All Rights Reserved
更新时间:2026/4/21 13:03:47