当对某量等精度测量n次,算平均值

若xi的标准不确定度为u(xi),则
的标准不确定度当各xi无关时

由此可知测量次数。
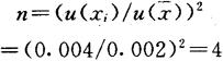
〔例2.7-2〕某仪器测量工作尺寸的u(xi)=0.004mm,要求平均值的标准不确定度
,问须测几次?
因

故须测4次。
故增加测量次数可减小不确定度,但因u(xi)的减小与
成正比,故减小愈来愈慢。
当各xi完全正相关时

此时增加测量次数,不能减小不确定度。
由于测量次数的增加使测量时间增长,导致测量条件变化,从而会产生一些新的不确定度来源,故测量次数不宜太多。
参加测量次数对减小测量不确定度只能起一定效果。
【参考文献】:
[1]王立吉,计量学基础,中国计量出版社,1988。
[2]BIPM、IEC、IFCC,IUPAC,IUPAP,OIML,Guide to the Expression of Uncertainty in Measurement, ISO,1993.
[3]刘智敏,不确定度原理,中国计量出版社,1993。
[4]刘智敏,误差分布论,原子能出版社,1988。
[5]刘智敏,误差与数据处理,原子能出版社,1983。
[6]Liu Zhimin(刘智敏),Measurement Uncertainty and Its Correlation Combination,Proceeding of ISEM, 1993.
[7]国家计量总局量值传递处编,计量技术考核纲要,计量出版社,1981。
[8]国家技术监督局审定,刘智敏等编审,全国计量检定人员考核统一试题集第六分册三,误差及数据处理,陕西科学技术出版社,1990。