网站首页  词典首页


请输入您要查询的字词:

 

字词 测距仪的误差分析
类别 中英文字词句释义及详细解析
释义

测距仪的误差分析


光电测距仪(包括激光和红外测距仪)的精度是仪器的重要技术指标之一。由于光电测距仪是光、电、机相结合的新型测量仪器,测量工作又是在自然界进行的,所以仪器的测距误差是和仪器本身的结构、外界自然条件等因素密切相关的。分析测距误差的来源和影响程度,找出消除或减弱误差的措施和方法,对于正确、合理地使用仪器和维护仪器,以便测出精度较好的距离成果和分析测距成果质量等都是很必要的。同时运用切实可行的检测方法确定仪器的实际综合精度,对于了解仪器性能指标,验收新购仪器以及合理使用仪器等都十分重要。

1.光电测距仪精度分析

(1)光电测距的误差来源

1)调制频率误差

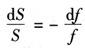
由相位式测距基本原理可得:

对上式的距离S及仪器的调制频率f进行微分,可得:

上式表明频率的相对误差使测定的距离产生相同的相对误差,因而距离误差的大小与距离的长度成正比。由于仪器使用中电子元件的老化,会使原来设计的标准频率发生变化,因此,通过测距仪检定、测定乘常数R,对距离进行改正,主要就是为了消除或减少仪器的调制频率误差。测距时是否需要进行这项改正,视测距所需要的精度及乘常数的大小而定。

2)气象参数误差

测距时测定的气象参数为大气温度t及气压p。根据前文介绍,可以计算出:测定气温时每1℃的误差或测定气压时每0.4kPa或3mmHg的误差,对于1km的距离,将产生1mm的误差。因此,气象参数的测定并进行改正只有在参数与标准状态相差很大时才有必要。大气温度不容易测得准确,因此,在精度测距时,成为不容忽视的误差来源。

3)仪器对中误差

光电测距是测定测距仪中心至棱镜中心的距离,因此,仪器和棱镜的对中误差有多大,对测距的影响也有多大。对中误差的大小与距离的长短无关,因此,对于短距离的情况,尤其应注意仪器及棱镜的对中精度,一般要求用光学对中,使此项误差不大于2mm。

4)测相误差

从相位式测距的原理及基本公式可知,不论距离长短,均从测定参考信号和测距信号的相位差中间接推算出距离,而测定相位差是有一定的误差。测相误差包括自动数字测相系统的误差和测距信号在大气转播中的信噪比误差等(信噪比为接收到的测距信号强度与大气中杂散光的强度之比)。前者决定与测距仪的性能和精度,后者决定与测距时的自然环境,如空气的透明程度、干扰因素的多少、视线离地面及障碍物的远近等。

测相误差对测距的影响与距离的长短基本无关。

(2)光电测距的精度

根据上述对光电测距仪误差来源的分析,可知有一部分误差(如测相误差等)对测距的影响与距离的长短无关,称为长误差(固定误差),表示为a,而另一部分误差(如气象参数测定误差等)对测距的影响与斜距的长度S成正比,称为比例误差,其比例系数为b。因此,光电测距的中误差mS(又称为测距仪的标称精度)以下式表示:

mS=±(a+bS)

比例系数b一般以百万分率表示,即b的单位为mm/km。如表18-4中各种测距仪的测距精度(即中误差)为±(5mm+5×10-6D),即相当于上式中a=5mm,b=5mm/km,此时,S的单位为km。

2.光电测距仪误差的主要来源

分析测距的测距误差也和分析一切测量成果的误差一样,可由测距公式和仪器使用情况来寻找误差的各种来源。目前光电测距仪大多数都采用相位法测距,其测距的一般公式为:

式中,各字母符号的含义同前文所述。对上式求全微分,可得:

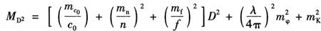
根据中误差的累积规律,则可将上式表示为中误差的公式:

式中 mc0、mn、mf、mφ及mK——分别代表各因素的测定中误差。

由上式知:方括弧内的三项是与距离成比例变化的误差;后两项误差影响则与距离远近无关。此外,由作业实距可知,还应包括式中没有反应出来但事实上存在的仪器和反射镜对中误差mg、mR及周期误差mz。因此从误差影响的性质来看,可将上述误差分为两大类:一类是与距离远近有关的误差(如mc0、mn、mf)及基本不变的误差(如mK),称为系统误差,它们构成了仪器精度指标中的比例误差点;另一类是与距离远近无关,且为随机变化的误差(如mφ、mg、mR),称为偶然误差,即仪器精度指标中的固定误差部分。而周期误差(mz)从影响性质讲属系统误差,但有它的特殊性,故另列一类。

光电测距仪的测尺长度可用公式Ls=c0/2nf或Ls=c0/4nf来表示,故光速误差mc0、晶体振荡器的频率误差mf以及大气拆射率的误差mn,均将使测尺长度产生误差,所以,有时也将这三者称为标尺误差。

3.光电测距各项误差分析

(1)真空光速值的误差mc0

以往各类光电测距仪都采用国际大地测量与地球物理学会于1957年建议采用的真空光速值:c0=299792.5km/s。以后均采用1973年此组织建议的真空光速值则为

可知新的光速值的求定精度为。此项误差对目前光电测距精度(一般为10-6·D或10-5·D,影响甚小,完全可以忽略不计)。

即使仍用c0=299792.5km/s作为真空光速值,相对而言也可达到±0.12×10-6精度[(299792.5-299792.459)/299792458=0.12×10-8],它比目前的光电测距精度仍高近一个量级,故此项误差影响可略而不计。

(2)主控晶体振荡器的频率误差mf

光电测距仪中的主振频率误差mf主要指精测频率误差而言,因为它决定了仪器的测距精度。此项误差包括两方面,即频率的校准误差和频率的漂移误差,前者取决于频率的准确度,后者由取决于频率的稳定度。当用高精度的频率计(高于10-7)作频率校准时,频率的校准误差可略而不计。

产生频率漂移的原因有:振荡线路元件性能的变化;晶体老化或质量欠佳,有恒温装置的仪器,预热时间不够,恒温范围过大;无恒温装置的仪器,由于温度变化引起频率漂移;电源电压不足或不稳定等等。如果只考虑频率误差,由此而引起的测距误差可按下式计算:

上式表明,欲使测距精度达到10-5~10-6量级。而一般石英晶体在-20~50℃的温度范围内工作时,较难达到10-6的稳定度。为此,可采用加恒温措施或晶体温度补偿以及电子线路设计上的锁频或锁相等办法来减弱频率漂移的影响。目前我国10km以上的精密激光测距仪均采用了恒温及锁频措施。而短程的红外测距仪,考虑到仪器的小型化,一次测量周期甚短(只有几秒钟),故均未加恒温措施,但有的采取了晶体温度补偿措施。对于未加恒温或温补措施的仪器短程红外测距仪,在做较长及精度要求高的长距测量时,则应根据仪器所用晶体的“温度频偏曲线”,对测距结果加入“温度频偏改正”。

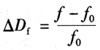
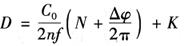
此外,对于因晶体质量不佳或晶体老化等原因而引起的频率偏移(偏离仪器设计的标称值),则应定期对仪器的频率进行校正若调整不到原标称值时,则应依下式对测距结果加入频偏改正:

式中 f——频率实际检定值;

f0——为频率的设计标称值;

△Df——为距离的频偏改正值。

因此,对用于精密测距或长边测量的短程测距仪,则应对它的精测晶振频率进行定期检验(频率计的精度要高于10-6),以便掌握精测频率的变化值。

由于短程测距仪中都采用了精粗测定值衔接的运算电路,故粗测值一般只要求有10-4精度就足够了,这个要求石英晶振荡器完全可以满足。

(3)大气折射率的求定误差

大气折射率的变化将使光在大气中的传播速度发生变化,从而影响测尺长度,引起测距误差。它主要包括四方面的来源:用测线两端点气象参数(P——气压、t——温度、e——水汽压);平均值代替测线沿线气象参数积分平均值,而引起的气象代表性误差;气象仪表的读定误差;计算大气折射率公式的误差等。

对于测距时的实际气象条件不同于确定测尺频率时所选用的参考气象条件,而引起的折射率的变化,可用加入气象改正数的方法加以消除。

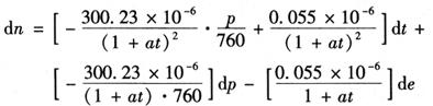
如前所述,波长为0.6328μm的气体激光测距仪的大气折射率的计算为:

对上式求全微分,则得:

为了说明它们之间的数量关系,我们取一般气象条件(p=760mmHg,t=20℃及e=10mmHg)代入上式,可得:

dn=0.95×10-6dt+0.37×10-6dp-0.05×10-6de

由上式可以大致看出:干温t的误差对折射率n的影响最大;其次是气压p的误差影响;水汽压e误差的影响最小。它们之间的比率约为19∶7∶4∶1。该比例关系对其他波长的仪器也是适用的。

由上式还可看出:若温度误差为1℃,将导致折射率产生约1×10-6的误差。若气压误差为2.6mmHg,亦可使折射率主产生约1×10-6的误差。由此可见,要保证测距成果的高精度,必须十分重视气象参数的测定及气象条件变化的影响。

气象参数(p、t、e)的测定误差指的是用气象仪器测定p、t、e时所产生的误差。主要包括:气象仪器(干、湿温度计与气压计)的刻度误差、读数误差等。

为了减少气象参数的测定误差,要定期将气象仪器送有关部门进行检验,取得改正资料,以便进行仪器刻度改正;作业时要提前按规定将气象仪器安放于无阳光照射的通风处,并注意避免热反射和热辐射的影响;读数时要仔细,力求消除视差;测温度时手不要握温度计下部,还要保护仪器免受剧震;由上述分析可知,为了保证1×10-6的测距精度,则温度的测定精度要高于1℃,气压的测定精度要高于2mmHg。

1)气象参数的代表性误差

所谓气象参数的代表性误差,就是计算大气折射率n时所用的气象参数(p、t、e),本来应是测距时光束路径沿线各气象参数的积分平均值,但由于客观上各气象参数的积分平均值难以求得,故均采用测线两端点所测定的气象参数的中值来代替积分平均值。由此而引起的求定折射率的误差,称为气象参数的代表性误差。此项误差与测线地形条件,测线长短(距离远近)及测量时的气象条件等密切相关。光电测距仪的实际精度往往受到此项误差的限制。例如,尽管一般光电测距仪的内部符合精度很高(可达几百万分之一),然而,往往由于距离较长,气象和地形条件不利,将使测距精度显着降低(即外部符合精度很差)。

2)温度代表性误差

大气温度分布状况与地形条件、天气阴晴、风力大小以及地面覆盖物的种类、性能等有关。一般近地面上空,大气等温层有大致平行地面分布的规律,离地面越高处,等温层越趋于水平分布。因此,当测线地形为两端点是高山,中间是低谷的地形时,若是晴朗的白昼,在测站附近地面测定温度,则所得的温度中值将高于沿线温度积分平均值(即代表性误差为正);反之,夜间观测所得的温度中值将低于积分平均值(即代表性误差为负)。当测线在两高标上设测站,且距离又不太远时,由于光速离地面较高,温度代表性误差就小。

不同天气条件下的温度代表性误差也各不相同:平静无风的晴天,由于大气具有稳定而复杂的温度梯度,温度代表性误差必然大;有较大风的阴天,由于大气混合较好,温度梯度将趋于一致,温度代表性误差也将显着减小;即使晴天,如果有较大的风,代表性误差也将减弱。

不同的地面覆盖物吸热性能是各不相同的,如水田和旱田、陆地和水系、有农作物、城市和农村、工业区和一般地区等的上空,其温度梯度是不相同的。因此当地面覆盖物不同时,就构成了复杂的温度梯度分布,如果光束由该地区附近上空经过,将会产生较大的代表性误差。尽管如此,但如果光束离地面较高时,代表性误差也会相对小些。

图18-46为某地区试验资料,其试验表明气象参数、大气折射率和距离观测值在一天之内均有近似正弦变化的波动规律。由图可知,距离观测值的变化趋势和大气折射率的变化趋势基本一致,而折射的变化趋势双和温度的变化趋势相吻合。因此,分别在同日内不同时间段进行距离观测,求得的距离中值将抵消一些代表性误差的影响,有利于提高测距精度。

图18-46 不同时间的温度与大气折射率趋势

综合上述,为了减弱温度代表性误差影响,可采取如下措施:选择测线位置时,光束离地面要尽量高一些,同时应尽量避免通过吸热、散热性能差别很大的地区上空;距离测量应在阴天有风或晴天多云有风的条件下进行,并应在不同时间段下观测;测线避免选在两端高山、中间低凹的地形上,且两端高差不宜过大;测定气象参数的仪器应放在离地面高一些的地方,且要防止阳光照射和反射热、辐射热的影响。

3)气压代表性误差

大气压力是高程的递减函数,即气压随测站高程的增加而减小。当测线两端点高差过大时,气压代表性误差就大,反之则小。气压梯度分布与温度梯度分布相反,有风则说明气压存在着水平梯度分布,将产生气压代表性误差。然而在一般风力的情况下,这种水平梯度是不大的,考虑到气压误差对大气折射率的影响较温度的影响小两倍多,所以气压代表性误差相对来说可以放宽些。但测定气压的工作仍要认真对待,切不可粗心大意。

4)大气折射率计算公式本身的误差

据有的资料介绍,在正常条件下,计算公式的精度不低于±2.0×10-7D。此项误差影响可略而不计。

(4)仪器加常数的测定误差mK

对每条所测边长都要进行仪器加常数的改正,因此,加常数的测定误差对每一条边将形成系统误差。如前所述,无论何类仪器出厂前都必须对仪器加常数进行精心而严格的检测,求出仪器加常数的精确值。对于中、长程测距仪,在计算时对距离加入改正。在短、中程测距仪中,则用预置仪器加常数的办法加以消除。

为了减小加常数的测定误差,提高测定加常数的精度,仪器加常数的测定,应在高精度的短基线上进行,对于中、长程测距仪而言,观测的时间段和测回数应比一般测距增加一倍;对于短程测距仪,可用“六段法”或其他方法进行。

(5)测相误差

测相误差包括移相器或数字相位计的原理误差、瞄准误差(实质是光束的空间相位不均匀误差)、幅相误差以及由信噪比决定的误差。

1)移相器的原理误差

移相-鉴相系统的原理误差与电感移相器的非线性、电路元件的质量、鉴相系统的灵敏度以及机械计数装置的质量有关。此外还与接收信号的强度有关。至于因RC网络失谐信号频率偏离移相器固有工作频率而产生的以为周期的误差下面另作介绍。

2)数字相位计的原理误差

由数字测相原理可知,相位计的原理误差与检相电路的时间分辨力、计数填充脉冲的频率以及一次测相的平均检相次数等有关。一般来说,检相双稳触发器和与门电路的开关时间愈短,计数填充脉冲频率愈高,则测相精度就愈高;反之,测相精度就低。另外,大气抖动和噪声影响也是造成测相原理误差的重要原因。由此而引起的测相误差是随机变化的,符合高斯分布规律,其影响随信噪比的增大而减弱。为了消除或减弱大气抖动和噪声的影响,目前自动数字测相仪器的检相电路总是设计成取几百次至上万次检相的平均值的形式,以提高测相结果的精度。尽管如此,偶然大的干扰常常使单位测量结果并不可靠,所以无论任何情况下,也都要进行多次测量,以保证测量成果的可靠性。即使如此,在测距作业中,当信噪比太低时,多次测距结果的分散性可能较大。此时,一方面应检查测线附近有无干扰的因素存在(如烟雾、烈日下光的抖动、发热体如生火的烟囱、骤然扬起尘埃等);另一方面应适当增加测量次数,并把偏大或偏小的成果舍去后,再取平均值。

(6)幅相误差

在使用光电测距仪时,我们可以看到,当外光路信号过强或过弱而与内光路信号强度相差悬殊的情况下,测距误差都较大。这种由于接收信号强弱不同而引起的测误差,称为仪器的幅相误差。因此,为了减小幅相差,除在测距线路的中放或低放单元加自动增益控制(即AGC)电路外,在自动数字测相仪器中,内光路信号强度调整以后是基本固定不变的。为了测距时控制外光路信号强度,使之与内光路信号强度相接或位于适当的范围,仪器内部设置了手动控制的减光板(如JCY-2等),或手动控制的孔径光栏(如HGC-1等),或自动控制的减光板(如DI-3等),并安置了用以监视接收信号强度大小的指示电表。

作业时,为了减小或消除幅相误差,应根据电表指示,调整接收光强使之与内光路信号强度相近或限制在仪器说明书中规定的范围内,尤其是进行精密测距时,更应该如此。

顺便指出,近几年来的短程测距仪由于具有较高的电路稳定性及良好的幅相特性。允许回波信号有较大的变化范围,所以仪器的幅相误差都很小。

(7)瞄准误差及发光管或调制器空间相位不均匀的误差

如图18-47(a)所示,设光束的发散角为α,随着距离D的增加,光斑面积S成正比增大。一般情况下,反射器的通光面积R远小于光斑面积S,因而反射器每次只能截获光束的一部分,所以,当反射器位于光斑不同位置时,测得的相位差将不同,从而造成测距误差。同时,由于内、外光路测量时,难以保证截获同一位置光束及更换反射镜数目时,截获的光束面积要发生变化,这些都将因相位不均匀而引起测距误差。光电测距仪的瞄准误差和经纬仪测角时的瞄准误差形式上相似,但本质不相同。表面上看,当反射镜位于发射光束横截面不同位置时,测距结果不相同,因而造成测距误差。从本质上讲,这是由于调制器或GaAs发光二极管的空间相位不均匀性,因而使发出的调制光束在同一横截面上各部分的相位是不同的,即ΦⅠ≠ΦⅡ≠ΦⅢ≠ΦⅣ,如图18-47(b)所示。

图18-47 瞄准误差及发光管或调制器空间相位不均匀的误差

以上所述称为光电测距仪的瞄准误差,这是目前光电测距仪误差的主要来源。为了减小瞄准误差:一方面要提高调制器或发光管的制造工艺,以提高它的空间相位均匀性,也可在短程测距仪GaAs发光管前加“混相”措施(如有的仪器加“混相”透镜或“混相”光导管),以提高发射光束的相位均匀性,但这种做法对仪器测程影响较大;也可以通过光学方法选用相位均匀区域;在操作方法上可以采用“电瞄准”的办法提高仪器的瞄准精度。所谓“电瞄准”,就是先用望远镜瞄准反射器(称光瞄准)后,再根据控制箱面板上电表的光强指示,调整仪器的水平和垂直微动螺旋进行精确瞄准,直至光强指示达最大值时,才说明仪器已处于瞄准位置(该操作称“电瞄准”),方可进行测距。

(8)对中误差mg与mR

包括测距仪和反射器的对中误差,它的含义与经纬仪的对中误差相同。对中可以采用光学对中器也可采用垂球对中,一般光学对中精度高于也优于垂球对中。采用光学对中时,只要静心操作,对中误差可以限制在±2mm之内。

为了减小对中误差,除应对光学对中器进行精确检校外,作业时应精心整平、对中,还应注意由于地面松软造成仪器或反射器脚架下沉倾斜。用垂球对中时,更应注意风力的影响。

(9)周期误差mz

在这类仪器中,周期误差主要来源于仪器内部固定信号(包括电信号和光信号)的串扰。如发射信号通过电子开关、电源线或空间等渠道耦合、串到接收部分,形成相位固定不变的串扰信号。这时相位计测得的相位差,就不仅是测距信号走过2D产生的相位延迟,而且还包含串扰信号的附加相位移的影响,即相位计实际测量的是测距信号与串扰信号之合成信号的相位移,这就引起了测距误差(图18-48)。下面对这种误差的性质与影响规律进行分析。

图18-48 测距信号e1与串扰信号e2

如图18-48所示,设测距信号为e1,它与串扰信号e2之间的相位差为φ,φ是距离的函数,周期为一个测尺长度。串扰信号的频率是多种的,在此只讨论影响最严重的同频率串扰。设e1m和e2m为两信号的振幅。

令e2m/e1m=K,则

e1=e1msin(ωt+φ)

e2=e2msinωtωt

=K·e1msinωt

两者的合成信号eK为:

eK=e1+e2

=e1m[sin(ωt+φ)+Ksinωt]

根据图18-48,考虑到余弦关系式,上式可写成如下形式:

eK=e1msin(ωt+φ1)

e1m,e2m分别为信号e1和e2的振幅。

由此可得,由于串扰信号而产生的附加相位差△φ(周期误差)随所测距离不同做正弦关系变化,其变化周期为2π(一个测尺长度);周期误差△φ的大小与串扰信号和测距信号强度的比值(K=e2m/e1m)有关。K值愈小,周期误差△φ亦愈小,即串扰信号越弱,测距信号越强,串扰引起的周期误差越小;反之,K值越大,周期误差也越大。因此减小K值(增大测距信号强度)有利于减小周期误差。

减小或消除周期误差的措施主要是:在设计、制造时,采用合理的电子开关,发射和接收系统等的电子线路的供电要单独设立电源;加强屏蔽,防止信号通过地线或空间发生耦合串扰。例如,某短程测距仪由于发光二极管座和接收光电二极管座的接地绝缘不好,引起信号串扰,竟产生数厘米的周期误差。

随便看

 

离鸟网收录3541549条中英文词条,其功能与新华字典、现代汉语词典、牛津高阶英汉词典等各类中英文词典类似,基本涵盖了全部常用中英文字词句的读音、释义及用法,是语言学习和写作的有利工具。

 

Copyright © 2004-2024 vtrois.com All Rights Reserved
更新时间:2026/4/19 6:08:23