网站首页  词典首页


请输入您要查询的字词:

 

字词 测设起始基点
类别 中英文字词句释义及详细解析
释义

测设起始基点


1.计算测设数据

根据测区地形及已知控制点的分布情况,首先要确定哪一点作为起始基点。例如,在图16-1中,可选定P点作为起始基点,编号为(勘探网的编号一般是以分式表示的。编号从网的左下角开始,分母代表线号,沿基线方向增大;分子代表点号,沿测线方向增大)。

图16-1 物探网设计

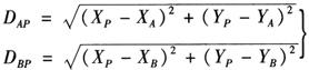
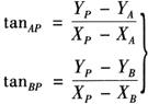
从地形图上量出P点的设计坐标值XP,YP。然后根据欲测定点P的设计坐标及已知控制点的坐标反算出坐标方位角与水平距离。如图16-2所示,A,B为已知控制点,P为欲测定的点,按下列公式:

图16-2 计算测设数据

即可计算出已知控制点A,B到起始基点P的坐标方位角αAP及αBP。同理,根据A,B两已知点的坐标,可求得它们的坐标方位角αAB及αBA

根据坐标方位角,按A,B,P三点在实地所构成的图形计算水平角βA,βB

根据下列求距公式

已知控制点A,B到起始基点P的水平距离即可求得。

2.现场施测

施测起始基点的方法通常采用交会法或极坐标法。下面简单介绍利用极坐标法施测起始基点。

如图16-2所示,将全站仪安置在A点上,经对中、整平后,瞄准B点,设置直线AB方向为零度方向,逆时针转动βA角,则此时望远镜视线的方向即是AP的方向。在此方向上按计算数据DAP量取水平距离,即得P点的实际位置。

随便看

 

离鸟网收录3541549条中英文词条,其功能与新华字典、现代汉语词典、牛津高阶英汉词典等各类中英文词典类似,基本涵盖了全部常用中英文字词句的读音、释义及用法,是语言学习和写作的有利工具。

 

Copyright © 2004-2024 vtrois.com All Rights Reserved
更新时间:2026/4/19 22:40:09