网站首页  词典首页


请输入您要查询的字词:

 

字词 测定数据的整理
类别 中英文字词句释义及详细解析
释义

测定数据的整理


(1)统计的基础

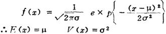
正规分布……将下式带入f(x):

式中,σ称为标准偏差,在正规分布中,x变为:μ-σ<x<μ+σ的几率为68.2%,μ-2σ<x<μ+2σ为95.5%。

通常测定值是从母集团中抽出的标本,所以,无法求出μ或σ,其推算值:

μ的推算值………(标本平均)n:标本数

(2)正规分布的性质

正规分布的性质见表2-10。

表2-10 正规分布的性质表

(3)对数正规分布

变数x的对数inx在正规分布时,把x的分布称为对数正规分布。

或采用常用对数:

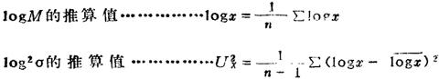
logx表示母平均logM、母分散log2σ的正规分布,这里:

logM-logσ<logx<logM+logσ

即.的几率是68.2%。

logM以及log2σ的推算值:

由上式得出ax的分布:

(4)作业环境测定值的解析

环境中有害物浓度的分布,从时间上、空间上,多数较正规分布浓度低。将数据进行对数变换,即可知对数正规分布。

①数据处理

第一天n个测定值: i=1.2…n

第二天n个测定值:C2i

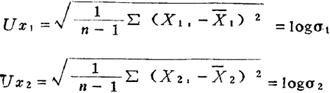
将Gji作对数变换:Xji≡logCji

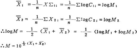
②几何平均M

③几何标准偏差(σg)

即,空间变化用1og2σ1、log2σ2表示;一天之内的日变化:

包括作业环境的空间变化、日内变化两个因素的几何标准偏差σ为:

④管理水平和管理区分

将单位作业地点均等分割,求测定点的方法称为“A测定”,可以求出作业地点有害物的平均浓度。但是,由于有害物扩散状况,人员操作姿势以及操作方法等因素的不同,会使操作者暴露在高浓度中,这种情况可能漏查。为此,在“A测定”的基础上,要判断操作者有可能暴露在最大浓度中的地点以及随时间变化的浓度,称为“B测定”。

2.12.1 管理水平的判断

管理水平的判断,见表2-11。

表2-11 管理水平的判断表

注:(1)E称做管理浓度,请参照允许浓度。

(2)原则上,测定工作是两天连续进行,在不得已时,仅测一天也可。这时,日变化为0.084。这个值是根据以往经验得到的log2σD的90%上限值。

随便看

 

离鸟网收录3541549条中英文词条,其功能与新华字典、现代汉语词典、牛津高阶英汉词典等各类中英文词典类似,基本涵盖了全部常用中英文字词句的读音、释义及用法,是语言学习和写作的有利工具。

 

Copyright © 2004-2024 vtrois.com All Rights Reserved
更新时间:2026/4/18 11:21:54