网站首页  词典首页


请输入您要查询的字词:

 

字词 泡沫塑料挤出成型方法
类别 中英文字词句释义及详细解析
释义

泡沫塑料挤出成型方法


泡沫塑料的成型方法有挤出、注射、模压、压延、浇铸和涂覆等方法。本章只阐述挤出发泡法。

泡沫塑料的挤出成型涉及到很多方面:首先是挤出发泡成型的最佳条件,再一是原材料方面,如聚合物及发泡剂;另一个很重要的方面是直接利用特定树脂作为发泡剂所需的设备;第四是工艺方面;第五是挤出发泡制品(如片材、管材及异型材)的质量标准。

(一)挤出发泡成型的最佳条件

使用普通单螺杆挤出机和化学发泡剂的挤出发泡成型中,存在着如图16-1、图16-2所示最佳工艺条件。

图16-1表示了沿挤出机轴向的物料温度分布最佳曲线。图16-2表示沿挤出机轴向物料压力分布。实际上,这些最佳条件也适用于使用液体或直接气体注入的物理发泡法。特别是图16-2所示的压力分布曲线,其目的是保证熔体在挤出机和口模过渡区内的压力始终高于发泡压力,直到熔体离开口模过渡区进入发泡减压区为止。为克服气体发泡压力所需的熔体压力值一般为12~14MPa。这一压力区间正好在常用挤出机的操作压力范围之内,因此,用普通挤出机就能满足要求。

图16-1 物料温度分布

图16-2 物料压力分布

(二)影响发泡制品质量的主要挤出工艺参数

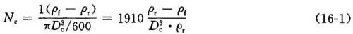
每立方厘米的平均泡孔数是表示发泡成型效率和发泡制品质量的有效参数。挤出发泡制品的平均泡孔尺寸是发泡密度的函数,可由下式进行计算:

式中 Nc——单位体积内平均泡孔的个数,个/cm3

ρf——泡沫制品的密度,g/cm3

ρr——树脂的密度,g/cm3

Dc——泡孔平均直径,mm。

由Nc,可以判别以下主要挤出工艺参数对于发泡质量的影响。

1.挤出压力

挤出压力对发泡质量的影响如表16-1的数据。由表16-1中的数据可知,泡孔尺寸和发泡制品的密度随挤出压力的增加而很快变小。用Nc表示,则可得到图16-3所示的曲线。显然,泡孔数量随着挤出压力的上升而增加,所以,挤出压力可用来有效地控制发泡制品的密度。

表16-1 挤出压力对发泡质量的影响

图16-3 Nc和挤出压力的关系

表16-1中,树脂为HDPE,其密度为0.96g/cm3,MFR为3.5g/10min;发泡剂为偶氮二甲酰胺,配比为0.75%;挤出温度为180℃;物料在挤出机中滞留约8min;物料在流变仪料筒内滞留约7min;模具尺寸为:长为20.8mm,直径为1.02mm,入口温度为90℃。

2.挤出温度

挤出温度也是影响发泡质量的一个重要参数。由表16-2可见,高质量的发泡体只是在较窄的温度范围内才能获得。

另外,最大发泡数量对应的挤出温度比最小发泡密度所对应的挤出温度低。这说明:挤出温度在一定的范围内和一定条件下存在着最佳值。图16-4表示HIPS熔体温度与发泡密度的关系。最小的发泡密度在128~135℃的温度之间。熔体温度越高,挤出物料本身的熔体强度越低,则泡孔内的发泡压力可能超过泡沫表面张力所能承受的限制,从而使泡孔破裂,并且,发泡表面粗糙。

表16-2 挤出温度对发泡质量的影响

图16-4 挤出温度和制品密度的关系

表16-2中,树脂为HDPE,其密度为0.96g/cm3,MFR为3.5g/10min;发泡剂为偶氮二甲酰胺,配比为0.75%;挤出温度为180℃;物料在挤出机中滞留约8min;物料在流变仪料筒内滞留约1min;挤压力为19.13MPa;模具尺寸为:长为20.83mm,直径为1.02mm,入口温度为90℃。

3.滞留时间

物料在挤出机内的滞留时间不同,发泡质量也产生很大的变化。挤出物料的温度达到接近发泡剂分解温度时,可以得到如图16-5所示的泡孔数量与滞留时间的关系曲线。

图16-5 Nc与滞留时间的关系

由图16-5可知,延长物料在挤出机内的停留时间,泡孔数量逐渐增加,但达到最大值后就开始下降。实际上,发泡剂的分解程度和离开口模时熔体中气体与核的比例有很大关系。在较短的停留时间内,发泡剂的分解程度较低,这时,相应的气体和核的比例也较小,但成核速率却较大,也就是制品的密度较大。如果停留时间增加,气体和核的比例就会增加,制品密度就会减少。如果滞留时间过长,会引起发泡剂过早分解,由此会影响成核结果,使泡孔数量减少,气体和核的比例变得很大,因而得到的是成核不足的发泡制品。

表16-3中,树脂为HDPE,其密度为0.96g/cm3,MFR为3.5g/10min;发泡剂为偶氮二甲酰胺,配比为0.75%;挤出温度为180℃;物料在挤出机中滞留约8min;挤压力为19.03MPa;模具尺寸为:长为20.83mm,直径为1.02mm,入口温度为90℃。

表16-3 停留时间对发泡质量的影响

4.口模轴向压力分布

溶解在熔体中的气体可以使熔体粘度下降。在PE中加入重量比为0.5%的发泡剂可使粘度降低20%。图16-6表示HDPE在细孔中挤出时沿轴向的压力分布曲线。由图16-6可知,有、无发泡剂,其压力分布曲线是不同的,其主要区别如下:

图16-6 口模轴向压力分布

▲、●-含发泡剂的HDPE

△、〇-不含发泡剂的HDPE

①细孔内的压力含发泡剂比不含发泡剂时要小。

②不含发泡剂时,除了细孔入口效应外的孔内压力分布为直线,含发泡剂时却为曲线。

③同样剪切速率,含发泡剂的料挤出时表现出更大的入口压力损失。图16-6中,树脂为HDPE,细孔的L/D为4,直径为3.175mm。

随便看

 

离鸟网收录3541549条中英文词条,其功能与新华字典、现代汉语词典、牛津高阶英汉词典等各类中英文词典类似,基本涵盖了全部常用中英文字词句的读音、释义及用法,是语言学习和写作的有利工具。

 

Copyright © 2004-2024 vtrois.com All Rights Reserved
更新时间:2026/4/19 9:47:53