网站首页  词典首页


请输入您要查询的字词:

 

字词 沉没泵的选择步骤及选泵实例
类别 中英文字词句释义及详细解析
释义

沉没泵的选择步骤及选泵实例


(一)选择的程序和步骤

1.收集、整理、分析拟用沉没泵井眼的基本数据(如井深、套管内径、产层深度、液体化学成分及相对密度等)、生产情况(如水温、产量、静液面、动液面与采液量间的变化关系等)。以及电源数据等;

2.确定井眼经济合理生产能力,以便选择泵的级数、排量和扬程;

3.计算总动压头;

4.根据泵的特性曲线选择泵的压头、排量和泵效;

5.根据特性曲线确定合适的叶轮级数;

6.根据计算所需电动机的功率,从标准系列中选择电动机;

7.按有关资料选择合适的电缆规格和型号;

8.计算电缆压降损失,确定供电所需电压,并相应选择配电盘的规格和型号;

9.计算和选择变压器;

10.选择其他附件(如油管头和其他部件及设备)。

(二)选泵实例

以四川自贡地区邓关构造某井实例说明如下:

1.基础资料

(1)井身结构 完钻井深1100m,生产套管″,套管鞋井深915.22m,裸眼井段直径193mm(″)。

(2)产卤层位 913~1075m,其中有断层通过,断点井深962m,断距118.5m,重复地层为T2L1,及T1j5产卤层。

(3)钻井过程漏失情况 井深952m时,钻井过程漏失量23.4m3/h;1018.8m以下,漏失量逐渐增大到100m3/h左右;最后循环液均为有进无出,此一井段钻井岩屑全部进入地层裂缝。

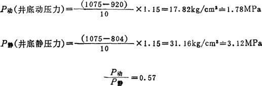
(4)本井采用气举采卤工艺时,1979年产卤量最高达1200m3/日;1981年初因注气压力下降,产量为677m3/日。1981年5月实测静液面804.45m。

(5)卤水成分及相对密度 化学成分略,相对密度1.15。

(6)井底温度 按该区地温梯度计算为43.3℃。

(7)卤水中硫化氢含量 919.77g/m3

(8)卤水含砂量 500g/m3

(9)供电电源 井场有供电干线通过,50周波,1万伏。

2.卤井生产能力及工艺所需管串的确定

(1)卤井生产能力的确定

①根据历史生产资料推断,当动液面920m时,产卤量可达1100m3/日。

②利用液流动态关系式计算:根据上述基础资料,若动液面为920m,则:

从图3-3-139查得,由此根据1981年产量资料,得出q(最大产率)=10.57m3/d。

(2)工艺所需套管 根据井身结构和工艺需要,下入″套管1017m。事先在管鞋内壁装配一个内空小于沉没泵机组直径的管座,控制卤水自下而上补给,以便冷却电机;避免机组被井壁掉块蹩卡,防止悬挂机组管串断落时设备落入井筒。

3.机组选择及有关计算

(1)泵的选择 根据井身结构和卤井生产能力等资料,查产品规格,确定选择513系列D-225B。另从该泵性能曲线查出当排量为1057m3/d时,单级叶轮扬程为5.5m,叶轮效率56.1%,单级叶轮所需功率1.33Hp(978.2W)。

(2)油管规格的确定 根据原机组泵出口为″,外加厚油管扣,似以选配″油管为宜;但考虑阻损太大,效率太低;而且4″油管加上电缆后直径较大,无法下井;最终选定油管规格为″。据此,结合有关资料计算,管损应为108m。

(3)沉没泵级数确定的计算

〔920m(动液面井深)+108m(管损)+30m(井口回压)〕÷5.5m(单级叶轮扬程)=192级

参考产品规格,选标准值为198级。

(4)电机的选择

198级×1.33×1.15=302.84hp=227.7kW

按有关产品目录,选标准值为333HP电机,其电流为105A,电压1854V,50Hz,转速2900r/min。

(5)电缆电压降及功率损耗 由于所选电机的电流为105A,为避免过大电压损失,决定选用1#铜线或2/0号铝线电缆。电机电源线引出端至机组顶端距离27.43m,因井径限制只能选用5#线芯扁电缆连接。

①电缆电压降为:

(1100m×3.28×25V/1000ft)+(27.43×3.28×105V/1000ft)=99.7V

按井底温度40℃校正后,为99.7×1.03=103V。

②地面供电电压应为:

1854V(机组工作电压)+103V(电缆电压降)=1957V

③电缆耗电:=18.70kW(25HP)

④总容量:

(6)其他有关配件按规范选配

随便看

 

离鸟网收录3541549条中英文词条,其功能与新华字典、现代汉语词典、牛津高阶英汉词典等各类中英文词典类似,基本涵盖了全部常用中英文字词句的读音、释义及用法,是语言学习和写作的有利工具。

 

Copyright © 2004-2024 vtrois.com All Rights Reserved
更新时间:2026/4/21 17:49:27