网站首页  词典首页


请输入您要查询的字词:

 

字词 汉沙黄G(耐晒黄G,颜料黄G)
类别 中英文字词句释义及详细解析
释义

汉沙黄G(耐晒黄G,颜料黄G)


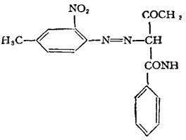
【结构式】:

【释文】:

性质 淡黄色粉末。于浓硫酸中呈金黄色。熔点256℃。耐晒6~7级,耐热150~160℃,耐酸1级,耐碱1级。吸油量40±5%。

用途 本品可作为塑料用黄色颜料,具有良好的耐光性、耐水性、耐酸性和耐碱性,耐热性亦可,但耐溶剂性差,易迁移和渗析结垢,易升华,着色性一般。主要用于酚醛树脂、脲醛树脂、丙烯酸树脂和氨基树脂等,在其它塑料中使用不多。

国内生产厂 天津染化六厂 上海染化一厂

天津油墨厂 济南油墨厂

甘肃甘谷油墨厂

国外商品名

随便看

 

离鸟网收录3541549条中英文词条,其功能与新华字典、现代汉语词典、牛津高阶英汉词典等各类中英文词典类似,基本涵盖了全部常用中英文字词句的读音、释义及用法,是语言学习和写作的有利工具。

 

Copyright © 2004-2024 vtrois.com All Rights Reserved
更新时间:2026/4/18 3:36:54