网站首页  词典首页


请输入您要查询的字词:

 

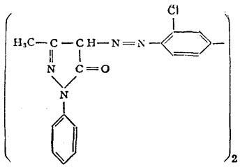
字词 永固橙G(联苯胺橙,坚牢橙G,永固橙黄G)
类别 中英文字词句释义及详细解析
释义

永固橙G(联苯胺橙,坚牢橙G,永固橙黄G)


【结构式】:

【释文】:

性质 橙色粉末。熔点332℃。于浓硫酸中为蓝光橙。耐晒5~6级,耐热140~150℃,耐酸1级,耐碱2级,水渗性3级,乙醇渗性2级,石蜡渗性1级,油渗性1~2级,吸油量50~60%。

用途 本品可作为塑料用橙色着色剂。着色力强,耐光性、耐热性、耐酸性、耐碱性和遮盖力也较好,但透明性差,迁移性较大,特别是在高温下尤为显着,耐溶剂性较低。可酌情用于聚氯乙烯、聚丙烯、聚苯乙烯、丙烯酸树脂、ABS树脂、聚乙烯、环氧树脂、酚醛树脂、氨基树脂、不饱和聚酯、聚氨酯等树脂中。

国内生产厂 上海染化十二厂

天津染化六厂

国外商品名

随便看

 

离鸟网收录3541549条中英文词条,其功能与新华字典、现代汉语词典、牛津高阶英汉词典等各类中英文词典类似,基本涵盖了全部常用中英文字词句的读音、释义及用法,是语言学习和写作的有利工具。

 

Copyright © 2004-2024 vtrois.com All Rights Reserved
更新时间:2026/4/18 18:28:37