网站首页  词典首页


请输入您要查询的字词:

 

字词 水稻矮缩病测报调查方法
类别 中英文字词句释义及详细解析
释义

水稻矮缩病测报调查方法


水稻矮缩病是由水稻矮缩病毒[rice dwarf Phytoreovirus(RDV)]引起的一种水稻病毒病,又称水稻普通矮缩病,是我国南方稻区的一种重要病毒病。主要通过黑尾叶蝉[Nephotettix bipunctatus(Fabricius)]传毒,带毒虫能终身传毒,经卵传染。发病植株矮缩,分蘖增多,叶片浓绿而僵直,在叶片和叶鞘叶脉间出现与叶脉平行的虚线白色点条,发病植株均不能正常抽穗结实。

1 预测依据

水稻矮缩病发生主要取决于黑尾叶蝉的种群数量和带毒率、食料、气候等因素。

1.1 虫源基数

黑尾叶蝉是水稻矮缩病的主要传播媒介,水稻在分蘖期以前最易感病,即迁移期虫口密度大,带毒率高,则水稻矮缩病发生为害严重。

黑尾叶蝉种群发生数量与越冬后的虫源基数有较大关系。黑尾叶蝉在我国年发生二至八代,以三、四龄若虫和少量成虫在绿肥田、春花田、冬闲田、田边、沟边杂草上越冬。来年早春最低气温达10℃以上(或日平均在13℃以上)时,越冬若虫便陆续开始羽化,其虫口密度就是全年的种群基数。在单双季混栽区黑尾叶蝉全年有两个迁飞扩散期。第一次迁移期是越冬成虫,从越冬寄主陆续迁向早稻秧田和本田,是以后稻田各代发生的最初虫源。第二次是在7月下旬前后,前季稻收割前,黑尾叶蝉成、若虫向后季稻秧、本田及单季晚稻大田迁飞扩散,这次迁移无论从虫口数量和传毒为害都大大超过第一次迁飞期。

1.2 食料条件

黑尾叶蝉的食料条件与其种群发生十分密切。单、双混栽区,插花田和桥梁田多,有利生存和繁殖,种群发生数量大,为害重。水稻品种抗性与黑尾叶蝉发生有很大关系。一般对黑尾叶蝉抗性较强的品种均为籼型品种,而感虫品种均为粳型品种。20世纪70年代后期以来,由于籼型杂交稻的大面积推广,从而有效地控制了黑尾叶蝉种群发生为害,这是一个十分重要的持续控制因素。

1.3 气候因素

黑尾叶蝉发生的最适气温为28℃左右,相对湿度75%~90%。冬、春气温偏高,有利黑尾叶蝉越冬成活,尤其3月中旬气温比常年偏高、雨量少,能加快越冬成、若虫的发育进度,提高羽化率。夏季高温、少雨,有利黑尾叶蝉的繁殖,并促使水稻矮缩病的发展蔓延。成、若虫的羽化期与雨量要素相关。雨日多、雨量大,不利其羽化。

1.4 黑尾叶蝉带毒率

水稻矮缩病发生流行主要取决于黑尾叶蝉种群数量及其带毒率高低。黑尾叶蝉一旦获毒,则终生带毒,并可经卵传毒。因此,黑尾叶蝉带毒率高低与水稻矮缩病发病程度存在显着相关关系。带毒率高,水稻矮缩病发病趋势则重;带毒率低,发病则轻。水稻矮缩病通过带毒黑尾叶蝉传毒侵染,以苗期和分蘖期最敏感,感病性最强,分蘖末期较抗病,拔节期以后不发病。所以水稻苗期至分蘖期,是水稻矮缩病的侵染关键期,也是黑尾叶蝉传毒的关键期,也往往是黑尾叶蝉迁移期。如果黑尾叶蝉发生量大,带毒率高,则病害发生趋势严重。这是水稻矮缩病预测的重要依据。

2 调查项目与方法

2.1 黑尾叶蝉发生调查

2.1.1 越冬后基数调查 越冬后成虫始盛期(3~4月),选择前作为晚稻的绿肥田、冬闲田、其他冬作的类型田,每类型查1~2块,每块随机取样调查10点,每点0.1m2,用白瓷盘拍打或目测虫态和数量。调查结果记入表4-26。

表4-26 黑尾叶蝉越冬虫口密度调查记载表

2.1.2 秧田虫口密度调查 早稻、单季稻、晚稻秧苗3~5叶期,即成虫迁移盛期。按品种播种早迟,选有代表性田块各2块,每块查5~10点,每点0.1m2。用白瓷盘拍打检查,或目测检查。每隔5天1次,连续调查2~3次。记载虫态和数量,并计算虫口密度。调查结果记入表4-27。

表4-27 黑尾叶蝉秧田虫口密度调查记载表

2.1.3 大田虫口密度调查 移栽初期和种群数量高峰期,按品种和移栽期早迟,选有代表性田各1~2块,采用5点取样,每块查20丛。用白瓷盘拍打或目测虫态和数量,计算百丛虫口密度。调查结果记入表4-28。

表4-28 黑尾叶蝉大田虫口密度调查记载表

2.1.4 成虫消长调查 结合诱虫灯调查,开展灯下诱虫量观察,逐日记载灯下诱到的黑尾叶蝉数量。

2.1.5 自然带毒率测定 一般用生物学测定方法。防虫条件下(可用防虫纱笼),播种当地主要品种,在2~3叶期拔取秧苗,每株秧苗用两头通的铜纱管或玻璃管套住,然后在每管内放入1头成虫或五龄若虫(测定的数量应在100管以上),上端扎以纱布,单虫、单苗饲养4天(2天后检查1次,如果虫子死亡,应连同秧苗一起删除不计),然后去掉成虫,取出秧苗在防虫棚内继续观测,如产有卵块,出现低龄若虫的要及时喷药杀虫。在病情稳定后,记载各矮缩病的株发病率,即为该代黑尾叶蝉的自然带毒率。

有条件的,可用血清学方法测定。采集成虫,用抗血清检测黑尾叶蝉带毒率,以缩短测定时间。

2.2 水稻普通矮缩病发生调查

2.2.1 秧田期矮缩病发生情况调查 移栽前2~3天,调查不同品种、不同播期的秧田各1~2块,每块随机取样查5点,每点0.1m2。记载调查总苗数和矮缩病的病苗数,计算株发病率。结果记入表4-29。

表4-29 矮缩病秧田发生情况调查记载表

2.2.2 本田期矮缩病发生情况调查 在早、晚稻矮缩病病情稳定期(孕穗期),按品种、成熟期不同类型,选有代表性田10块,采取平行跳跃式取样,每块田查100~200丛,计算丛发病率和株发病率。调查结果记入表4-30。

表4-30 水稻普通矮缩病发生情况调查记载表

3 预测方法

3.1 黑尾叶蝉发生预测

3.1.1 发生期预测 可用虫态历期预测法、期距预测法和黑尾叶蝉迁移盛期预测。

黑尾叶蝉种群第一次迁移期预测,主要根据越冬后种群基数调查,结合虫态分析,一般羽化率达80%左右后一星期即为迁移高峰期。迁移数量还受气温影响,日平均气温17℃以上才大量迁移。第二次迁移期预测,即为第二、三代成虫羽化迁移期,一般为早稻黄熟期。

3.1.2 发生量预测

3.1.2.1 全年发生趋势预测 根据越冬后种群基数、气象情报进行分析。凡越冬后基数大,冬、春气温偏高,尤其3~4月气温较高,雨量较少,田间产卵量大,药剂防效差,成活率和转化率高,以及7~8月干旱,则预示全年有大发生趋势。

3.1.2.2 早稻发生趋势预测 根据越冬后虫口基数调查,推测早稻秧田虫口密度。凡越冬后基数大,羽化盛期气温偏高,且雨日、雨量少,则早稻秧田的成虫密度高。结合年份之间进行比较分析,可做出早稻秧苗期发生趋势预测。

3.1.2.3 晚稻发生趋势预测 晚稻前期是主害期,可根据早稻收割前黑尾叶蝉虫口密度,推测晚稻大田初期虫口密度,结合历年测报资料和气象预报进行趋势预报。

3.2 水稻普通矮缩病发生趋势预测

一般矮缩病在晚稻上发生比较重,因此预测重点应放在晚稻上。目前中期预测方法有:

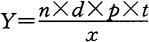
①利用二代单位面积上黑尾叶蝉高峰期虫量(n)、二代黑尾叶蝉能有效迁入晚稻田的比例(p)、带毒率(d)、带毒虫传病苗数(t)(近似值为10)和单位面积上的苗数(x),预测晚稻株发病率(Y)。

②以早稻矮缩病病株率、7月上半月平均虫量、每一代黑尾叶蝉带毒率与晚稻病株率的相关,建立回归预测式,预测晚稻矮缩病发生趋势。

③黑尾叶蝉带毒率估测。根据早稻矮缩病与第二代黑尾叶蝉带毒率的相关性,建立相关模型,通过早稻发病率调查,估测黑尾叶蝉带毒率。

4 测报参考资料

4.1 病株率与产量损失

晚稻后期矮缩病株发病率与产量损失的关系,据有关研究,株发病率1%的晚稻产量损失率杂交稻为0.62%±0.053%,常规稻为0.78%±0.14%。

4.2 防治指标

在水稻矮缩病流行区,凡秧田平均有成虫18头/m2以上、本田初期平均有成虫1头/丛、早稻穗期平均有成若虫10头/丛以上时,应进行防治。非矮缩病流行区凡早稻穗期平均有成若虫15头/丛以上时,也要进行防治。

随便看

 

离鸟网收录3541549条中英文词条,其功能与新华字典、现代汉语词典、牛津高阶英汉词典等各类中英文词典类似,基本涵盖了全部常用中英文字词句的读音、释义及用法,是语言学习和写作的有利工具。

 

Copyright © 2004-2024 vtrois.com All Rights Reserved
更新时间:2026/4/20 9:37:37