网站首页  词典首页


请输入您要查询的字词:

 

字词 水样总酸度、碱度及pH值的测定
类别 中英文字词句释义及详细解析
释义

水样总酸度、碱度及pH值的测定


一、水样总酸度的测定

本项测定适用于含有游离二氧化碳、无机酸、有机酸及强酸弱碱盐类的水样中总酸度的测定。

(一)试剂配制

1.0.1N氢氧化钠标准液。

2.1%酚酞指示剂。

(二)测定步骤 吸取100ml水样于250ml三角瓶中(如水样酸度大,可适当少取水样),加入4滴酚酞指示剂,如不产生红色,迅速用0.1N氢氧化钠标准液滴定,直至水样呈现粉红色,保持30s不褪色为止。

(三)结果计算

式中:N,V——标准碱液的当量浓度及滴定时所用体积(ml);

Vs——分析用水样体积(ml)。

(四)注释

①被测定水样不应过滤,防止过滤过程中游离二氧化碳逸出。

②如果水样在滴入氢氧化钠标准液后产生浑浊现象,表明水样硬度高或含大量铁盐,应另取样,并于滴定前加入1ml酒石酸钾钠液,以消除干扰。

二、水样总碱度的测定

本项测定适用于含有重碳酸盐、碳酸盐及氢氧化物等的水样。如水样中同时存在其它化合物的碱度也一并测出。

(一)试剂配制

1.1%酚酞指示剂。

2.0.1%甲基橙指示剂。

3.0.05N盐酸标准液。

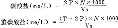
(二)测定步骤 吸取100ml水样于250ml三角瓶中,加入4滴酚酞,如呈现红色,以盐酸标准液滴至无色,记录盐酸标准液用量为(P)(如加酚酞后不呈红色,则可直接接下步操作)。继往三角瓶内加入3滴甲基橙,如产生橙黄色,用盐酸标准液滴定至呈橙红色止。记录以甲基橙为指示剂的盐酸用量(M)。

(三)结果计算

式中T、N表示盐酸标准液的毫升数及其当量浓度,其它符号同总酸度测定。

由于盐酸滴定时所消耗的体积,与水样中各种碱性物质所生成的碱度有如下关系(表24-3),因此利用此关系可计算出碳酸盐、重碳酸盐及氢氧化物等碱性物质的含量。

表24-3 滴定结果与三种碱性物质的计算关系

例如当T时则:

可依此类推计算不同滴定结果时,各种碱性物质的含量。

三、水样pH值的测定

先取少量水样于白瓷比色盘的穴中,加万能指示剂数滴,比色约测得水样大致的pH值,然后用单色指示剂按土壤酸碱度测定法,测其pH值。本项测定应在采样后尽速进行,且水样不得过滤。

随便看

 

离鸟网收录3541549条中英文词条,其功能与新华字典、现代汉语词典、牛津高阶英汉词典等各类中英文词典类似,基本涵盖了全部常用中英文字词句的读音、释义及用法,是语言学习和写作的有利工具。

 

Copyright © 2004-2024 vtrois.com All Rights Reserved
更新时间:2026/4/19 10:20:37