网站首页  词典首页


请输入您要查询的字词:

 

字词 水果、蔬菜汁中游离氨基酸含量的测定(摘自GB12292)
类别 中英文字词句释义及详细解析
释义

水果、蔬菜汁中游离氨基酸含量的测定(摘自GB12292)


(一)主题内容与适用范围

本标准规定了水果、蔬菜汁中游离氨基酸的提取净化及测定方法。

(二)测定原理

水果、蔬菜汁通过阳离子交换树脂,固定及净化氨基酸。用2mol/L氢氧化铵把氨基酸洗脱后,脱氨浓缩。用氨基酸分析仪测定含量。

(三)仪器设备

(1)氨基酸分析仪或高压液相色谱仪。

(2)玻璃柱 高20cm,内径2cm。

(3)捣碎机。

(4)离心机。

(5)天平。

(6)旋转蒸发器。

(7)真空干燥器。

(四)试剂

全部试剂均为分析纯,配制试剂均用去离子水。

(1)阳离子交换树脂 Dowex50W×4型,100~200目,或其他适宜的树脂。

(2)盐酸溶液 6mol/L,0.1mol/L。

(3)氢氧化铵溶液 2mol/L。

(4)氢氧化钠溶液 3.5mo1/L。

(5)每种氨基酸标准溶液 0.0025mol/L。

(6)仪器分析用的各种缓冲液。

(7)仪器分析用的茚三酮试剂。

(五)试样选取和制备

(1)液体产品 需充分混匀。

(2)固体产品 选取有代表性的水果和蔬菜洗净,擦干,剥去或削去果皮,用四分法取样150g左右。

(3)称样 称取样品100~150g,准确至0.01g,置于捣碎器的玻璃缸内,加入等量的水。

(4)样品捣碎 将盛样品的玻璃缸装在捣碎机上,在1档速度捣碎1min,取出倒入烧杯中。

(5)过滤及离心 把已捣碎的样液过滤,吸取10mL滤液放入离心管中,在4000rmin的转速下离心15min。

(6)脱果胶 对含果胶丰富的样液需用乙醇处理,准确吸取样液5mL,加入34mL96%乙醇,过滤,用15mL80%乙醇分三次冲洗滤纸,将滤液在35℃下减压蒸馏。

(六)分析步骤

1.固定柱的装置

将Dowex50W×4树脂装入玻璃圆柱中,离上端空出约10cm,用6mol/L盐酸250mL活化树脂,然后用水洗至无氯离子为止(用硝酸银检查,不产生白色沉淀)。调节活塞,使溶液流速为1mL/min。

2.固定及洗脱

吸取5mL样液或液体产品,除果胶物的样液则取全部,置玻璃圆柱中,再加5mL水,待液体通过树脂后再加2mol/L氢氧化铵50mL,可分3~4次加完,用50mL水洗涤,将加2mol/L氢氧化铵流出的溶液收集在圆底烧瓶内,在减压真空和加热(40~45℃)条件下蒸发至干,用5mL0.1mol/L盐酸溶解。

3.脱氨

吸取待测液1mL,加入3.5mol/L氢氧化钠溶液2~3滴,调至pH10~11,放在真空干燥器中减压蒸干。用1mL水洗涤,再抽真空蒸干。这样重复2次,加入pH2.2缓冲液0.5mL和0.1mol/L盐酸0.5mL,使pH达到2.2,再稀释5~10倍后测定。

4.测定

用氨基酸分析仪测定氨基酸含量,测定前需做2~3个氨基酸标样,待仪器稳定后再测试样。

(七)结果计算

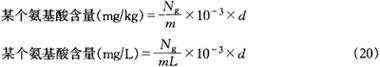
1.结果表示

用mg/kg或mg/L。

2.计算公式

式中 Ng——从仪器测得的某个氨基酸的质量,Ng

m——新鲜样品重,g

mL——原始取样体积,mL

d——稀释倍数

3.允许差

水果、蔬菜汁游离氨基酸平行测定的结果,相对偏差不得大于5%。

随便看

 

离鸟网收录3541549条中英文词条,其功能与新华字典、现代汉语词典、牛津高阶英汉词典等各类中英文词典类似,基本涵盖了全部常用中英文字词句的读音、释义及用法,是语言学习和写作的有利工具。

 

Copyright © 2004-2024 vtrois.com All Rights Reserved
更新时间:2026/4/20 3:42:35