网站首页  词典首页


请输入您要查询的字词:

 

字词 水准仪的检验与校正
类别 中英文字词句释义及详细解析
释义

水准仪的检验与校正


1.圆水准器轴平行于仪器竖轴的检验与校正

(1)检验

旋转脚螺旋使圆水准器气泡居中,然后将仪器上部在水平方向绕竖轴旋转180°,若气泡仍居中,则表示圆水准器轴已平行于竖轴,若气泡偏离中央则需进行校正。

(2)校正

用脚螺旋使气泡向中央方向移动偏离量的一半,然后拨圆水准器的校正螺钉使气泡居中,如图2-19所示。

图2-19 圆水准器校正螺钉

上述检验与校正需反复进行,直到仪器上部旋转到任何位置气泡都能居中为止,然后拧紧螺钉。当校正某个螺钉时,必须先旋松后拧紧,以免破坏螺钉。校正完毕时,必须使校正螺钉都处于旋紧状态。

2.十字丝横丝垂直于仪器竖轴的检验和校正

(1)检验

在距墙面10~20m处安置仪器,先用横丝的一端照准墙上一固定清晰的目标点或在水准尺上读一个数,然后用微动螺旋转动望远镜,用横丝的另一端观测同一目标或读数。如果目标仍在横丝上或水准尺上读数不变[图2-20(a)],则说明横丝已与竖轴垂直。若目标点偏离了横丝或水准尺读数有变化[图2-20(b)],则说明横丝与竖轴没有垂直,应予校正。

图2-20 十字丝横丝的检验

(2)校正

打开十字丝分划板的护罩,可见到3个或4个分划板的固定螺钉(图2-21)。松开这些固定螺钉,用手转动十字丝分划板座,使横丝的两端都能与目标重合或使横丝两端所得水准尺读数相同,则校正完成。最后旋紧所有固定螺钉。此项校正也需反复进行。

图2-21 十字丝的校正

3.视准轴平行于水准管轴的检验和校正

(1)检验

在平坦地面上选定相距40~60m的A,B两点,首先将水准仪置于离A,B等距的Ⅰ点,测得A,B两点的高差[图2-22(a)],重复测二三次,当所得各高差之差不大于3mm时取其平均值hI。若视准轴与水准管轴不平行而存在i角误差(两轴的夹角在竖直面的投影),但由于仪器至A,B两点距离相等,则由于视准轴倾斜而在前、后视读数所产生的误差δ也相等,因此,所得hI是A,B两点的正确高差。

图2-22 视准轴与水准管轴平行的检验

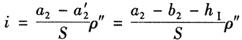
然后把水准仪移到AB延长方向上靠近B的Ⅱ点,再次观测A,B两点的尺上读数[图2-22(b)]。由于仪器距B点很近,S′可忽略,两轴不平行造成在B点尺上的读数b2的误差也可忽略不计。由图2-22(b)可知,此时A点尺上的读数为a2,而正确读数应为:

此时可计算出i角值为:

S为A,B两点间的距离。对S3水准仪,当后、前视距差未作具体限制时,一般规定在100m的水准尺上读数误差不超过4mm,即a2的差值超过4mm时应校正。当后、前视距差有较严格的限制时,一般规定i角不得大于20″,否则应进行校正。

(2)校正

为了使水准管轴和视准轴平行,转动微倾螺旋使远点A的尺上读数a2改变到正确读数。此时视准轴由倾斜位置改变到水平位置,但水准管也因随之变动而气泡不再符合。用校正针拨动水准管一端的校正螺钉使气泡符合,则水准管轴也处于水平位置从而使水准管轴平行于视准轴。水准管的校正螺钉如图2-23所示,校正时先松动左右两校正螺钉,然后拨上下两校正螺钉使气泡符合。拨动上下校正螺钉时,应先松一个再紧另一个,逐渐校正。当最后校正完毕时,所有校正螺钉都应适度旋紧。检验校正也需要反复进行,直到满足要求为止。

图2-23 水准管的校正

随便看

 

离鸟网收录3541549条中英文词条,其功能与新华字典、现代汉语词典、牛津高阶英汉词典等各类中英文词典类似,基本涵盖了全部常用中英文字词句的读音、释义及用法,是语言学习和写作的有利工具。

 

Copyright © 2004-2024 vtrois.com All Rights Reserved
更新时间:2026/4/21 18:20:24