网站首页  词典首页


请输入您要查询的字词:

 

字词 氧和二氧化碳的测定(奥氏气体分析仪)
类别 中英文字词句释义及详细解析
释义

氧和二氧化碳的测定(奥氏气体分析仪)


1.方法原理

在果蔬的气调贮藏中要随时了解密闭环境里的氧和二氧化碳含量,以便调节和控制果蔬适宜的气体成分和含量。目前国内外测定氧和二氧化碳的主要方法是使用奥氏气体分析仪。即使有较高级的测氧和二氧化碳仪器,也要用奥氏气体分析仪校正,以便减少或消除仪器的误差。

2.仪器与试剂

(1)仪器。奥氏气体分析仪,仪器结构如图2-47所示。

图2-47 奥式气体分析仪

1-量气管 2-水套管 3-水准瓶 4-梳形管 5、6-吸收器 7、8、9、10-两通旋塞 11-三通旋塞 12-气体试样导入管 13-弹簧止水夹 14-玻璃管接头 15-玻璃细管 16、17-液位标志

(2)试剂。焦性没食子酸、氢氧化钾、氯化钠、液体石蜡。①氧吸收剂:取焦性没食子酸28g,溶于50mL热水中,另取42.9g氢氧化钾溶于87mL水中,冷却后,将两溶液混合在一起。②二氧化碳吸收剂:取氢氧化钾60g,溶于140mL水中即可。

3.操作步骤

(1)清洗与调整。将仪器所在玻璃部分洗净,磨口活塞涂凡士林。在吸收瓶中注入吸收剂,吸收剂不宜装得太多,一般装到吸收瓶的1/2(与后面的容器相通)即可,后面的容器加少许(液面有一薄层)液体石蜡,使吸收液呈密封状态。压力瓶中除装入200mL氯化钠饱和溶液外,并加入2~3滴0.1~1mol/L的盐酸和3~4滴1%甲基橙或甲基红,在压力瓶中很快形成玫瑰红色的封闭指示剂。当碱液从吸收瓶中偶然进入量气筒内,会使封闭液立即呈碱性反应,由红色变为黄色。先测二氧化碳吸收瓶,后测氧吸收瓶。测定时要记住压力瓶的举上举下与吸收瓶的液面上下正反。

三通旋塞箭头(↑)方向:①箭头向上:吸取试样气体;②箭头向右:排气;③箭头向左:关闭。

(2)洗气。用气样清洗梳形管和量筒,避免误差。打开三通旋塞,箭头向上,压力瓶向下,气样进入量气筒,约80mL,然后把三通旋塞箭头向右,把清洗过的气样排出,反复2次。

(3)取样。正式取气样,将三通旋塞箭头向上,取气样100mL,定量后关闭气路。再举起压力瓶观察量气筒的液面,如果液面不断往上升表明有漏气,要检查各连接处及磨口活塞,堵漏后重新取样。若液面在稍有上升后停在一定位置上不再上升,证明不漏气,可以开始测定。

(4)测定。①先测二氧化碳:旋动二氧化碳吸收瓶活塞,上下举动压力瓶,使吸收瓶的液体与气样充分接触,吸收二氧化碳(一般举动5~6次),将吸收液面回到原来的标线,关闭活塞。压力瓶液面对准量气筒的液面,记下读数。如上操作,再进行第二次读数,若2次读数相同,则表明吸收完全。②再测定氧的含量,方法同上,记下读数。

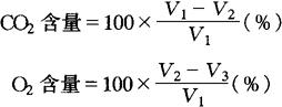
4.结果计算

式中 V1——量气筒初始体积,mL

V2——测定二氧化碳时残留气体体积,mL

V3——测定氧气时残留气体体积,mL

注:操作时应注意以下几点:①举起压力瓶时量气筒内液面不得超过刻度100处,否则蒸馏水会流入梳形管,甚至到吸气球管内,不但影响测定的准确性,还会冲淡吸收剂造成误差。液面也不能过低,应以吸收瓶中吸收剂不超出旋塞为准,否则吸收剂流入梳形管时要重新洗涤仪器才能使用。②举起压力瓶时动作不宜太快,以免气样因受压力冲过吸收剂成气泡状而漏出,一旦发生这种现象,要重新测定。③先测二氧化碳后测氧。④焦性没食子酸的碱性溶液在15~20℃时吸收氧的效能最大,吸收效果随温度下降而减弱,0℃时几乎完全丧失吸收能力。因此,测定时室外温一定要在15℃以上。⑤多次举压力瓶读数不相等时,说明吸收剂的吸收能力减弱,需重新配制吸收剂。

随便看

 

离鸟网收录3541549条中英文词条,其功能与新华字典、现代汉语词典、牛津高阶英汉词典等各类中英文词典类似,基本涵盖了全部常用中英文字词句的读音、释义及用法,是语言学习和写作的有利工具。

 

Copyright © 2004-2024 vtrois.com All Rights Reserved
更新时间:2026/4/19 0:09:00