网站首页  词典首页


请输入您要查询的字词:

 

字词 氟电极法
类别 中英文字词句释义及详细解析
释义

氟电极法


(一)适用范围 本法可应用于用盐酸、高氯酸、过氧化钠—碳酸钠或氢氧化钠熔融等方法所制备的,磷矿粉待测液中氟含量的测定。方法简便快速,测定时氟离子浓度宜控制在10-3一10-4mol之间。

(二)试剂配制与仪器

1.1mol柠檬酸钠溶液称取294.11g柠檬酸钠(C6H5Na3O7·2H2O)溶于1L去离子水中,用1∶1盐酸调至pH6。

2.氟标准液 称取20.994g经120℃干燥过的优级纯氟化钠,溶于去离子水中,稀释至1L,摇匀。贮于塑料瓶中,此溶液的浓度为0.5mol的氟。

3.溶剂空白溶液 称取24g氢氧化钠溶于去离子水中,加入80ml浓盐酸,用10%氢氧化钠中和至pH6,稀至1L。

4.仪器 氟电极:饱和甘汞电极;UJ-25型电位差计;精度为2mV的酸度计或pNa计(钠离子浓度计,作阻抗转换和示零器);磁力搅拌器;银坩埚(30ml)。

(三)测定步骤

1.标准曲线法 称取样品0.4g(准确到0.0001g),放入盛有4g氢氧化钠的银坩埚中,用2g氢氧化钠覆盖样品。先在电炉上熔融成流体,再于高温电炉中600-650℃熔融8-10min,中间取出摇动一次,使样品分解完全。熔融完毕后,将坩埚中熔块用热水提取,放入小烧杯中,在搅拌下加入20ml浓盐酸,加热至近沸。冷却后洗入250ml容量瓶中,稀释至刻度,混匀,贮于塑料瓶中。

取上述待测液10ml于50ml容量瓶中,加2滴0.1%溴甲酚绿和5滴1mol柠檬酸钠,用10%的氢氧化钠中和至待测液由黄变蓝,再用1N硝酸调至恰现黄色,加入1mol柠檬酸钠20ml,稀释至刻度,摇匀。30min后,取部分溶液于小烧杯中,插入氟电极及甘汞电极,在磁力搅拌情况下测量电位值。在标准曲线上查得氟克分子浓度Cx。

标准曲线的绘制:将已配制好的0.5mol的氟标准液正确稀释100倍,得0.005mol(即5×10-3mol)的标准液,分别吸取此液1.0,2.0,5.0,10.0ml于四个50ml容量瓶中,加入溶剂空白溶液10ml,1mol柠檬酸钠20ml,分别定容至刻度。而得10-4,2×10-4、5×10-4、10-3mol的氟标准液。测其电位值。以电位值为横坐标,氟离子浓度为纵坐标,在半对数纸上绘制标准曲线。

2.标准添加法 吸取10ml待测液2份,分别置于50ml容量瓶中,其中一份加入5×10-3mol氟标准液2ml(最后浓度为2×10-4mol)。然后分别滴加2滴0.1%溴甲酚绿指示剂和5滴1mol柠檬酸钠溶液,用10%氢氧化钠溶液中和至待测液由黄变蓝,再用1N的硝酸调至恰现黄色,加入1mol柠檬酸钠20ml,并稀释至刻度,混匀,倒入小烧杯中,分别测定电位值E1及E2。

再吸取5×10-3mol氟标准液2及20ml分别置两个50ml容量瓶中,加入溶剂空白溶液10ml(与待测液体积相同),然后加入2滴0.1%溴甲酚绿指示剂和5滴1mol柠檬酸钠溶液即可按待测液测定步骤操作,最后测得二者电位值之差,即是S值(又称级差或电极斜率)。

(四)结果计算

1.待测液中氟的克分子浓度Cx

标准曲线法可由标准曲线中直接查出,标准添加法则可按下列公式计算:

式中:C△——添加氟标准液的最后浓度(即2×10-4mol);

△E——二份待测液测得的电位差值(E1-E2,mV);

S——分别测得2×10-4mol及2×10-3mol氟的电位值之差,即级差或称电极斜率。

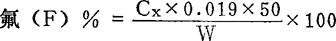
2.样品氟(F)%:

式中:Cx——待测液中氟的克分子浓度,由标准曲线法或标准添加法求得;

0.019——每毫克分子氟的克数;

50——测定时体积(m1);

W——10ml待测液相当样品重(g)。

(五)注释

①磷灰石和磷灰土中氟的测定是重要的分析项目之一。通常其含氟量约为1-3%。

②当用10%氢氧化钠和1N硝酸调至待测液现黄色后,再加入的柠檬酸钠(20ml),是为了在50ml容量瓶中定容后,能达到0.4mol的柠檬酸介质的浓度。在此条件下,氟的浓度在5×10-6-10-1mol之间,电极电位与氟离子浓度的负对数呈线性关系,斜率接近Nernst理论值。同时此柠檬酸钠浓度足够消除一般磷矿中铁的干扰。

随便看

 

离鸟网收录3541549条中英文词条,其功能与新华字典、现代汉语词典、牛津高阶英汉词典等各类中英文词典类似,基本涵盖了全部常用中英文字词句的读音、释义及用法,是语言学习和写作的有利工具。

 

Copyright © 2004-2024 vtrois.com All Rights Reserved
更新时间:2026/4/20 17:04:19