网站首页  词典首页


请输入您要查询的字词:

 

字词 气体在水里的溶解度
类别 中英文字词句释义及详细解析
释义

气体在水里的溶解度


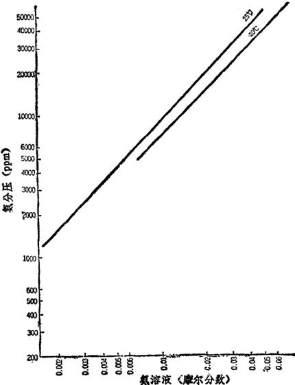
气体在水里的溶解度见图1-15、图1-16、图1-17、图1-18、图1-19。

图1-15 气体在水里的溶解度

图1-16 氨在水中的溶解度

图1-17 二氧化硫在水中的溶解度

图1-18 氯化氢在水中的溶解度(20℃)

图1-19 氯气在水中的溶解度

随便看

 

离鸟网收录3541549条中英文词条,其功能与新华字典、现代汉语词典、牛津高阶英汉词典等各类中英文词典类似,基本涵盖了全部常用中英文字词句的读音、释义及用法,是语言学习和写作的有利工具。

 

Copyright © 2004-2024 vtrois.com All Rights Reserved
更新时间:2026/4/21 16:25:17