网站首页  词典首页


请输入您要查询的字词:

 

字词 比色分析方法
类别 中英文字词句释义及详细解析
释义

比色分析方法


比色分析方法可分为目视比色法和光电比色法。

(一)目视比色法 目视比色法是用肉眼来观测溶液对光的吸收程度,即观测颜色的深浅,而不是测定其吸光度。一般是以被测定溶液与已知浓度溶液比较,来确定待测物的含量。目视法又可分以下二种:

1.色阶法或标准系列法 最早用的标准系列法,是利用纳氏比色管。纳氏比色管是一套特制的、大小形状完全相同的玻璃管,体积50或100ml,并有刻度指示其容量。比色时下面垫上白色瓷板以便观察颜色。

测定时先配制系列各已知浓度的标准溶液。取一定量置于比色管中;未知的待测溶液亦在同条件下完全相同地显色,注入另一比色管中至同一高度,然后由管口向下注视,若待测溶液管与标准系列溶液某管的颜色相同,则说明该二管中的溶液浓度相等,即可得知待测液中该物质的含量。

目视标准系列比色法的优点是:比色管很长,很浅的溶液也易于观察;使用的仪器简单经济;比色溶液即使不严格符合比尔定律,也影响不大。但系列标准溶液常常不稳定,不能久放,所以又有配制模拟的永久性系列色阶。无论是永久性液体或固体标准色阶,都只适用于准确度要求较低的工作中。

2.滴定比色法 滴定比色法是将未知的待测溶液与一个标准溶液相比较。测定时取两个大小相同、色泽一致的玻璃管,在管1加入一定量待测溶液,加入显色剂显色,稀释到适当的体积。在管2中放入显色剂,稀释到稍小于管1中溶液的体积,然后从微量滴定管中缓缓将标准溶液滴入管2中,不断摇动,并自上而下地观察比色,直滴至管2中溶液颜色与管1相同为止。调节两管中溶液体积一致后,再观察滴定使二溶液颜色完全一致,由管2中滴定标准溶液用量即待测物质量。

采用滴定比色法时,发色反应需要较快,生成的有色溶液颜色与各种试剂混合顺序无关。此法可用于微量Mo、Cu、Zn的测定。

(二)光电比色法 光电比色法是用光电管或光电池代替视觉器官观测溶液对光的吸收,它可以免除一些主观误差。

用光电比色计测量光的强度,是以光电效应为基础。当光线通过吸收池的溶液后,使透射光照在光电池上,所产生光电流的大小与透射光的强度,在一定条件下成正比,因此通过测量光电流的强度,可以求得溶液的透光率和吸光率。

光电比色计的类型很多,一般都由光源、滤光片、吸收池、光电池或光电管及电流计等五种部件组成:

1.光源和聚光镜 光电比色计中,常利用的光波位于4000-8000埃()可见光区,因此光源一般应用白炽电灯。最常用的是6-12V的钨丝灯泡。电源必须稳定,为此,需用磁饱和式稳压器均整电路电压的波动。

光电比色计都须设聚光镜,使从光源来的光线都成为平行光线,然后透过光电池。为调整光电池受光面积的大小,常使用光阑或光楔。

表2-1 光源比较

2.滤光片 朗白特—比尔定律只适用于单色光的情况,最简单获得近似单色光的方法,是使用滤光片。白光通过滤光片,各种波长的光被吸收,只选择一近似单色光带可以通过。因之将滤光片置于光源与吸收池之间,使通过溶液的光为单色光。滤色片所选择的单色光带愈狭窄,滤光片的质量愈好。

测定时选择合适的滤光片的原则是:滤光片的最大透射光应是被测定溶液的最大吸收光的波段,所以滤光片的颜色就是被测溶液的互补色。

表2-2 滤光片的选择

3.吸收池或比色杯 比色杯或吸收池采用优质无色玻璃制成,形状有长方形、正方形、圆形等。在比色法中溶液的厚度是固定的,因此在测定中标准溶液和待测液所用比色杯大小,厚度必须相同。比色杯的厚度可有多种,如0.5、1.0、2.0、5.0cm等。其厚度在出厂时已经严格测定和校准。检验办法,可用同一浓度的有色溶液,分别测定其吸收值,如果相同,可说明比色杯的厚度、质量一致;不同的最好弃去不用,或用空白调整。

4.光电池及光电管 光电池不需外加电压,在光线照射下直接产生光电流,最常用的是硒光电池。

将半导体硒涂一层在铁或铜的金属底板上,作为导电之用。在半导体硒的表面上,涂上一薄层透明的金属膜(金或铂等金属),膜有一金属环M。金属环收集电子作为光电池的负极,半导体和金属底板为光电池的正极。在半导体硒和金属膜的接触而处,构成有单向导电性的薄层,即所谓“单流层”或称“阻挡层”。当光线照射到半导体硒的表面上时,半导体放出电子。由于“阻挡层”的存在,电子只能由半导体流向金属膜,而不能由金属膜流向半导体。因此,光电所产生的电子都聚集在金属环M上,在金属环M与金属底杯之间就形成了电位差。如用导线将二者连接就有电流通过。这一光电池称为光伏电池或“阻挡层”光电池。在适当条件下,光电流的大小与照射到光电池上的光强度成正比。

光电池受强光照射或连续使用的时间太长,会产生“疲劳”现象(即在光的照射下光电流逐渐减弱)。遇到“疲劳”现象,应将光电池置于干燥器内放在黑暗处一段时间,使其恢复原有的灵敏度。使用比色计时,不能在无滤光片的情况下开亮灯泡,以免强光照射光电池。在测定过程中光门应随测随开。另外要注意勿使光电池受潮。

硒光电池对于各种不同波长光的灵敏度是不同的,对于5000-6000波长特别灵敏,而对于紫外和红外则不能应用。

光电管或叫光电发射管。其阴极为一片金属,金属片上涂一层化学物质(例如氧化铯),此种物质经光照射后可放出电子。当光电管的阳极与直流电源的正极、阴极与直流电源的负极相连时,这些电子由阴极流到阳极,即有电流在线路上通过。但光电管内阻很大,所生电流较光电池要小,需用一套放大装置(如电子管放大器)将其电流放大后才能从电流计上读出。因此可用来测量很微弱的光强。

图2-1 硒光电池

通过光电管的电流强度与照射光电管的光强度成正比。因此光电管可以用来比较通过溶液后的光的强度。

5.电流计 光电池产生的光电流大小是通过检流计计量的。常用的检流计是光点反射式微电计(是灵敏度很高的电流计,它的灵敏度为10-8-10-9A/mm),其标尺上有两种刻度,一种是百分刻度(等分刻度),为百分透光度(T);另一种是不等分刻度,按对数关系刻度为吸光度(A)。如下图2-2。

图2-2 吸光度标尺图

百分透光度(T)和吸光度(A)的关系是:

实际工作中,使用吸光度(A),用方格纸作图比较方便。而使用透光度(T),则须用半对数纸作图。

光电比色计的测定方法有二种:

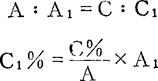
(1)直接比较法:有一个已知浓度的标准溶液和待测溶液吸光度读数之比,即为其浓度之比:

A和A1——标准溶液和未知溶液的吸光度;

C和C1——标准溶液和未知溶液的浓度;

当有空白溶液时,其吸光度为A0,则计算改为:

(2)工作曲线法:测定大批样品时,则可先测读一系列已知的标准溶液的吸光度以溶液浓度为横座标,其吸光度为纵座标,绘制工作曲线。若符合朗伯—比尔定律,就必须得到一条通过零点的直线(图2-3)。然后将未知样本溶液测得的吸光度,在工作曲线上找出相应的浓度。

图2-3 吸光度A与浓度C关系曲线图

随便看

 

离鸟网收录3541549条中英文词条,其功能与新华字典、现代汉语词典、牛津高阶英汉词典等各类中英文词典类似,基本涵盖了全部常用中英文字词句的读音、释义及用法,是语言学习和写作的有利工具。

 

Copyright © 2004-2024 vtrois.com All Rights Reserved
更新时间:2026/4/18 7:47:17