网站首页  词典首页


请输入您要查询的字词:

 

字词 正比例
类别 中英文字词句释义及详细解析
释义

正比例


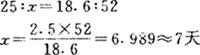
①如一个四级抹灰工2.5天可以抹灰18.6米2,若是抹灰面积52米2需要多少时间?

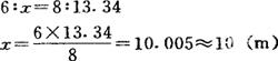
②一根木杆6米,直立在日光下,它的影长8米,在同时同一地区烟囱影长13.34米,求烟囱的高度。

随便看

 

离鸟网收录3541549条中英文词条,其功能与新华字典、现代汉语词典、牛津高阶英汉词典等各类中英文词典类似,基本涵盖了全部常用中英文字词句的读音、释义及用法,是语言学习和写作的有利工具。

 

Copyright © 2004-2024 vtrois.com All Rights Reserved
更新时间:2026/4/20 18:50:49