网站首页  词典首页


请输入您要查询的字词:

 

字词 正态分布误差
类别 中英文字词句释义及详细解析
释义

正态分布误差


大量的测量结果误差服从正态公布N(0,σ),其密度

服从此分布的误差δ有如下特点:

1.单峰性 绝对值小的误差出现的概率比绝对值大的误差出现的概率大;

2.对称性 绝对值相等的正误差与负误差出现的概率相等;

3.有界性 误差的绝对值实际不超过一定界限;

4.抵偿性 同条件下对δ测得δ1,δ2,……δn,则δi的平均值随次数增多趋于零,即

图2.2-4 N(0,σ)正态分布

其期望与方差为

E(δ)=0

V(δ)=σ2

而其平均误差μ或然误差ρ为

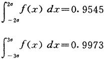
此误差界于[-σ,+σ]概率为

而误差界于[-2σ,+2σ],[-3σ,+3σ]的概率分别为

实践证明,大量测量误差服从正态分布,因而正态分布有着广泛的应用,其所以能广泛应用,还由概率论中心极限定理可说明。该定理说:只要误差彼此独立,且均匀地小,数目较多,则其和分布可认为是正态的。通常影响测量结果的误差较多,而且每个因素的影响又很小且彼此独立,故一般测量结果误差服从正态分布。

【参考文献】:

[1]王立吉,计量学基础,中国计量出版社,1988。

[2]BIPM、IEC、IFCC,IUPAC,IUPAP,OIML,Guide to the Expression of Uncertainty in Measurement, ISO,1993.

[3]刘智敏,不确定度原理,中国计量出版社,1993。

[4]刘智敏,误差分布论,原子能出版社,1988。

[5]刘智敏,误差与数据处理,原子能出版社,1983。

[6]Liu Zhimin(刘智敏),Measurement Uncertainty and Its Correlation Combination,Proceeding of ISEM, 1993.

[7]国家计量总局量值传递处编,计量技术考核纲要,计量出版社,1981。

[8]国家技术监督局审定,刘智敏等编审,全国计量检定人员考核统一试题集第六分册三,误差及数据处理,陕西科学技术出版社,1990。

随便看

 

离鸟网收录3541549条中英文词条,其功能与新华字典、现代汉语词典、牛津高阶英汉词典等各类中英文词典类似,基本涵盖了全部常用中英文字词句的读音、释义及用法,是语言学习和写作的有利工具。

 

Copyright © 2004-2024 vtrois.com All Rights Reserved
更新时间:2026/4/20 7:04:35