网站首页  词典首页


请输入您要查询的字词:

 

字词 正弦交流电的基本概念
类别 中英文字词句释义及详细解析
释义

正弦交流电的基本概念


1.正弦交流电

大小和方向都随时间作周期性变化的电动势(电压或电流)称为交流电。交流电可分为正弦交流电和非正弦交流电两类,按正弦规律变化的交流电称为正弦交流电。不按正弦规律变化的交流电称为非正弦交流电。

根据电磁感应原理,交流发电机的线圈切割按正弦规律分布的磁场,则线圈中产生的感生电动势是按正弦规律变化的正弦交流电,其数学表达式为:

e=2NBmlvsinα (2-83)

=Emsinα (2-84)

=Emsin(ωt+Φ) (2-85)

2.正弦交流电的相关名词

(1)瞬时值

任意时刻正弦交流电的数值称为瞬时值,其瞬时电动势、瞬时电压、瞬时电流分别用符号e、u、i表示。瞬时值有正、有负,也可能为零。

(2)最大值

最大的瞬时值称为最大值,其最大电动势、最大电压和最大电流分别用符号Em、Um和Im表示。最大值虽然有正有负,但习惯上最大值都以绝对值表示。

(3)周期

交流电每重复一次所需的时间称为周期,用符号T表示,单位是秒(s)。常用的时间单位还有毫秒(ms)、微秒(μs)和毫微秒(ns)。换算关系如下:

1ms=10-3s

1μs=10-6s

1ns=10-9s

(4)频率

交流电1秒钟内重复的次数称为频率,用符号f表示,单位是赫兹,用符号Hz表示,比赫兹大的常用单位是千赫(kHz)和兆赫(MHz)。换算关系如下:

1kHz=103Hz

1MHz=106Hz

根据周期和频率的定义可知,周期和频率互为倒数,即

(5)电角度

正弦交流电在变化过程中,决定其大小和方向的角度称为电角度,用符号α表示。正弦交流电每变化一周所经历的电角度为360°或2πrad(rad——弧度)。电角度并不是在任何情况下都等于线圈实际转过的机械角度的。只有在两个磁极的发电机中,电角度才等于机械角。在正弦交流电的数学表达式中出现的都是电角度,通常又称为相位或相角。

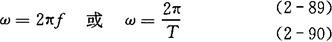
(6)角频率

正弦交流电每秒钟内变化的电角度叫角频率。角频率用符号ω表示,其数学表达式为:

式中 ω——角频率(弧度/秒,用符号rad/s表示);

α——电角度(rad);

t——时间(s)。

根据正弦交流电的频率与角频率的定义,可得ω与f的关系为:

根据角频率的定义,可知经过时间t变化的电角度α与角频率ω的关系为:

α=ωt (2-91)

(7)初相角及相位差

正弦交流电在开始计时起点(t=0)所对应的电角度称为初相角,也叫初相位或初相,用符号φ表示。正弦交流电在任何时刻的电角度α可表示为:

α=ωt+φ (2-92)

当t=0时,α=φ

两个同频率交流电的相位之差叫相位差,两个同频率交流电的相位差等于它们的初相位之差。

(8)正弦交流电的有效值

交流电的大小是不断变化的,难以取那个数值作为衡量交流电大小的标准,为方便计算和测量,通常根据交流电做功的多少来作为衡量交流电大小的标准。根据这个标准定义出来的量值就是交流电的有效值。让交流电和直流电分别通过阻值完全相同的电阻,如果在相同的时间内,这两种电流产生的热量相等,我们就把此直流电的数值定义为该交流电的有效值。换句话说,把热效应相等的直流电流(或电压,电动势)定义为交流电流(或电压、电动势)的有效值。交流电流、电压和电动势有效值的符号分别是I、U和E。

通过计算,正弦交流电的有效值和最大值之间有如下关系:

特别应指出的是,今后若无特殊说明,交流电的大小总是有效值。电气设备铭牌数据标注的交流电压,电流都是有效值。交流电表测出的数值都是有效值。显然,有效值不随时间变化。

3.正弦交流电的三要素

正弦交流电的最大值反映了正弦量的变化范围;角频率反映了正弦量的变化快慢;初相角反映了正弦量的起始状态,它们是表征正弦交流电的三个重要的物理量。知道了这三个量就可以唯一确定一个交流电,写出其瞬时值的表达式,因此常把最大值、角频率、初相角称为正弦交流电的三要素。

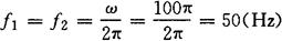
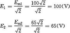
[例2-25] 已知两正弦交流电的电动势分别是:。求:各电动势的最大值和有效值;频率、周期;相位、初相位、相位差。

[解] 最大值

有效值

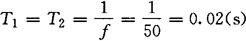
频率

周期

相位

α1=(100πt+60°)

α2=(100πt-30°)

初相位

φ1=60°

φ2=-30°

相位差

φ=φ1-φ2=60°-(-30°)=90°

4.正弦交流电的复数表示

正弦量可以用解析法(三角函数表示法),波形图和相量法表示。相量用大写字母上打“·”表示,如

如果把相量所在平面看成是一个复平面,那么表示正弦量的这个相量就唯一的对应一个复数。因此,正弦量也可以用复数来表示。其规则是:

①复数的模等于正弦量的最大值(有效值);

②复数的辐角等于正弦量的初相角。

相量加、减,用复数的直角坐标形式,实部加或减,虚部加或减。相量乘、除,用复数的指数形式或极坐标形式,其相量的模相乘或相除,其辐角相加或相减。

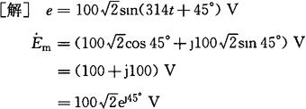
[例2-26] 已知正弦电动势,分别用复数的三角函数形式、直角坐标形式、指数形式和极坐标形式表示。

[例2-27] 已知两个同频率的正弦电流分别是i1=10sin(ωt+30°)A,i2=8sin(ωt+60°)A,试用复数计算i=i1+i2

根据可写出与它对应的正弦电流,即

i=17.4sin(ωt+43.3°)A

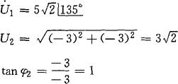
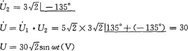
[例2-28] 已知,求·,并列写U。

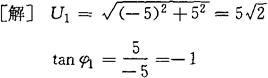
φ1=135°(第二象限)

φ2=-135°(第三象限)

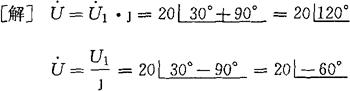
[例2-29] 已知,求

随便看

 

离鸟网收录3541549条中英文词条,其功能与新华字典、现代汉语词典、牛津高阶英汉词典等各类中英文词典类似,基本涵盖了全部常用中英文字词句的读音、释义及用法,是语言学习和写作的有利工具。

 

Copyright © 2004-2024 vtrois.com All Rights Reserved
更新时间:2026/4/20 18:24:09