网站首页  词典首页


请输入您要查询的字词:

 

字词 正常商品
类别 中英文字词句释义及详细解析
释义

正常商品


其需求量在所有商品价格不变条件下与消费者收入按同方向变动的商品。

这种类型的商品有如下特点:它们的价格下跌会引起用这类商品代替其他价格未变的商品,其替代效应为负数。同时此类商品价格下跌引起的消费者实际收入的提高会增加对该类商品的需求,即其收入效用也是负数。由于大多数商品都具有这些性质,所以这类商品称为正常商品。上面的性质推导过程:正常商品i的需求量xi在价格不变时,对消费者收入m的变化率大于零,即:

其他条件不变时,与其自身价格pi按相反方向变动:

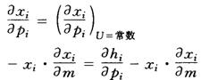
这是因为斯卢茨基方程

右端第一项为负值,即,右端第二项由于,亦为负值,从而其左端必定为负值。

〖参〗劣等商品

吉芬商品

随便看

 

离鸟网收录3541549条中英文词条,其功能与新华字典、现代汉语词典、牛津高阶英汉词典等各类中英文词典类似,基本涵盖了全部常用中英文字词句的读音、释义及用法,是语言学习和写作的有利工具。

 

Copyright © 2004-2024 vtrois.com All Rights Reserved
更新时间:2026/4/19 3:06:52