编码 GB 08.126
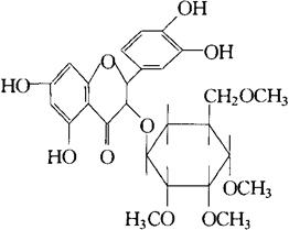
化学结构

C25H32O13 相对分子质量 540.00
性状 深棕色粉末。易溶于水及乙醇水溶液,不溶于非极性溶剂。在偏碱性条件下呈棕色,在偏酸性条件下呈红棕色。对热和光均稳定。
制法 以橡子果壳为原料,用水浸提,将滤液纯化、精制而得。
质量标准

毒理学依据
1.LD50 小鼠、大鼠口服大于15g/kg(bw)。
2.致突变试验 Ames试验、骨髓微核实验及小鼠精子畸变试验均无致突变作用。
3.致畸试验 无致畸作用。
4.90d喂养试验 对动物生长及肝、肾功能无影响,无病理变化。
使用 着色剂。
1.使用注意事项 本品对光、热均稳定,可用于焙烤食品着色。
2.使用范围及使用量 我国《食品添加剂使用卫生标准》(GB 2760-1996)规定:用于可乐饮料,最大使用量1.0g/kg;配制酒,最大使用量0.3g/kg。