网站首页  词典首页


请输入您要查询的字词:

 

字词 横断面面积与土方计算
类别 中英文字词句释义及详细解析
释义

横断面面积与土方计算


渠道纵横断面图绘制完成后,就可进行土方计算。

1.确定填挖断面

计算土方量之前,应绘制标准断面图。标准断面图既可直接绘在横断面图上,又可制成模片进行套绘。标准模片的制作是根据渠底设计宽度、深度和渠道内外坡比,在透明的聚酯薄膜上绘制成的。标准断面绘成后,即可将标准断面套在横断面图上。套绘方法是根据纵断面图上各里程桩的设计高程,在横断面图上表示出来,作一标记。然后将标准断面的渠底中点对准该标记,渠底线应与毫米纸的方格网线平行,这样即套绘完毕。地面线与设计断面线(标准断面线)所围成的面积即为挖方或填方面积,在地面线以上的部分为填方,在地面线以下的部分为挖方(图13-5)。

图13-5 套绘标准断面图

2.填挖横断面面积的量测

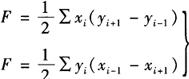
(1)积距法

如图13-6所示,按单位宽度b(通常用1m或2m)把横断面分成若干个梯形与三角形条块,每个条块的近似面积为其平均高度,hi乘以宽度b,即

Fi=hib

则横断面面积为

当b=1m时,则F在数值上等于各个小条块平均高度之和∑hi

图13-6 积距法计算横断面面积

(2)坐标法

当要求量算精度较高时,其横断面面积计算一般采用解析法。先算得设计线与地面线所围成面积的各转点坐标(图13-7),按顺时针编号,则断面即可按下式计算。

式中 F——横断面面积;

xi、yi——横断面各转折点相应坐标。

3.土方量计算

(1)相邻两断面填挖一致

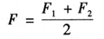
若相邻两断面均为填方或挖方,且面积大小相近,则可假设两断面之间为一棱柱体,其体积计算可采用平均断面法,即相邻两断面的挖或填面积的平均值,按下式计算。

式中 F1、F2——相邻两断面挖方或填方的面积;

F——平均值。

则两断面间的挖(填)土方量为:

V=Fd

式中 d——相邻两断面之间的水平距离(m)。

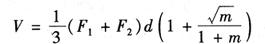
若相邻两断面均为填方或挖方,而面积相差甚大,则与棱台更为接近。其计算公式为:

式中,且F2>F1

图13-7 坐标法计算横断面面积

如表13-12所示,计算土方量时,是将纵断面图上各里程桩的地面高程、设计高程、填挖量及各断面的填挖方面积分别填入表内,然后求取相邻两断面挖方或填方面积的平均值,填入表内,平均断面面积乘以两断面间的水平距离即为挖方或填方量,分别填入表中相应栏内。

表13-12 土方量计算表

(2)相邻断面填挖不一致

如果相邻两断面的中心桩,其中一个为挖,另一个为填,则应先找出不填不挖的位置,该位置称为“零点”。如图13-8所示,设零点O到前一里程桩的距离为x,相邻两断面间的距离为d,挖土深度或填土高度分别为a、b,则

图13-8 确定零点桩位置的方法

随便看

 

离鸟网收录3541549条中英文词条,其功能与新华字典、现代汉语词典、牛津高阶英汉词典等各类中英文词典类似,基本涵盖了全部常用中英文字词句的读音、释义及用法,是语言学习和写作的有利工具。

 

Copyright © 2004-2024 vtrois.com All Rights Reserved
更新时间:2026/4/21 3:18:27