网站首页  词典首页


请输入您要查询的字词:

 

字词 根据示性矿物组成确定坯料配方
类别 中英文字词句释义及详细解析
释义

根据示性矿物组成确定坯料配方


配制具有下列组成的坯料:

粘土质物料 63.08%

长石 28.62%

石英 8.30%

所用原料的化学成分如下表所列:

从化学成分计算出原料的示性矿物组成如下表所列:

另外,为使成型性能良好,同时使用高岭土和蛙目粘土作为粘土质物料。

粘土质物料需要量63.08%的一半取自高岭土,另一半取自蛙目粘土,求其配入量为:

31.54×=32.58%………高岭土配入量

31.54×=35.14%………蛙目粘土配入量

因在32.58%高岭土中同时含有长石和石英,其含量分别为:

长石 32.58×=0.64%

石英 32.58×=0.34%

蛙目粘土也是如此,即:

长石 35.14×=2.71%

石英 35.14×=0.93%

从两种粘土引入的石英总量为:

0.34+0.93=1.27%

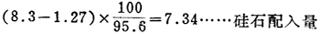
从要求的8.3%石英量中减去上述石英总量,剩余的石英必须全部取自硅石。因硅石中的石英含量为95.6%,所以硅石的配入量为:

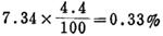
在此7.34%的硅石中同时也含有长石,其含量为:

粘土和硅石中的长石总量:

0.64+2.71+0.33=3.68%

从坯料要求的28.62%长石量中减去3.68%,即是长石的配入量:

28.62-3.68=24.94%………长石配入量

根据上述计算结果,坯料的配方如下:

高岭土 32.58%; 蛙目粘土 35.14%。

长石 24.94%; 硅石 7.34%。

随便看

 

离鸟网收录3541549条中英文词条,其功能与新华字典、现代汉语词典、牛津高阶英汉词典等各类中英文词典类似,基本涵盖了全部常用中英文字词句的读音、释义及用法,是语言学习和写作的有利工具。

 

Copyright © 2004-2024 vtrois.com All Rights Reserved
更新时间:2026/4/17 15:49:34