网站首页  词典首页


请输入您要查询的字词:

 

字词 树体主要无机营养元素的测定
类别 中英文字词句释义及详细解析
释义

树体主要无机营养元素的测定


1.植株全氮的测定

(1)碳、氮自动分析仪测定法仪器:碳氮自动分析仪及其附件;万分之一天平。

试剂:(1)马尿酸(二级);(2)氧化钴。

测定方法:称取植株样品0.2000克,装入镍舟,与4克氧化钴充分混匀,送入碳氮自动分析仪的自动进样器中,15分钟为一周期,样品自动进入燃烧炉和还原炉,生成的气体进入定量泵,达到检测器,由纪录笔记录峰值图谱,数字显示仪即显示并打印出峰高。

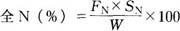
测定样品的同时,还要测定已知组成的纯物质,如同时测定碳和氮,可用马尿酸作标准,称量为30.0~60.0毫克,将测得的标准样峰高信号(毫米)减去基准信号(空白)以此作为分母,以标准样的含氮毫克数(马尿酸含氮7.816%、含碳60.3%)作为分子,求出测定感度(即每毫米记录信号代表的氮毫克数)FN=N毫克/毫米。

结果计算:用样品峰的信号减去基准信号,乘以测定感度,即得到氮的重量,再从样品重量计算含氮百分数。

式中:FN——测定感度;

SN——样品净信号;

W——样品重量(克)。

(2)克氏法 方法原理:植株全氮量测定最经典的方法是克氏法。植株样品在硫酸钾和硫酸铜混合催化剂作用下,用浓硫酸消煮,使氮成为硫酸铵,然后加碱蒸馏,逸出的氨被硼酸吸收,用稀H2SO4滴定终点。

仪器:电炉、万分之一电子天平、定氮蒸馏装置(图3-3)等。

图3-3 克氏法定氮装置

1.碱管 2.克氏瓶 3.定氮球 4.冷凝管 5.吸收瓶

试剂

①浓H2SO4(二级,比重1.84)。

②0.02NH2SO4溶液:2升溶液中含浓H2SO41.1毫升,用基准物质硼砂或标准碱标定。

③混合催化剂:K2SO4∶CuSO4·5H2O=9∶1,先磨细,然后再混合均匀。

④40%氢氧化钠溶液:400克NaOH加水溶解,经常搅拌勿使结块,冷却后用水稀释至1000毫升。

⑤2%硼酸溶液:称取硼酸20克,溶解在1升蒸馏水中,每升加混合指示剂10毫升,并用稀的NaOH或稀HCl调节至溶液从蓝转为紫红色(此时pH4.5)。

⑥混合指示剂:称溴甲酚绿0.5克、甲基红0.1克,溶于95%乙醇100毫升,并用稀NaOH或稀HCl调至蓝、紫的中间色(pH4.5)。

测定方法:

①称取在85℃烘过8小时的叶子样品0.2000克于克氏瓶中,加混合催化剂3克,浓硫酸10毫升,瓶口上盖一小漏斗,在电炉上小火加热,待泡沫消失后,可以大火消煮至溶液澄清后,再煮一小时(共约2小时)。

②溶液冷却后,加入无氨蒸馏水约50毫升,再冷至室温,置于蒸馏装置上加45毫升40%NaOH溶液,通蒸汽蒸馏。

③加碱液前,用200毫升三角瓶,内装25毫升硼酸液放在冷凝管下接受逸出的氨。接液管一定插在酸液内,以免氨挥发损失。在开始蒸馏的同时,要打开冷凝水。

④蒸馏20分钟,让接液管离开硼酸液面,再蒸1分钟,用蒸馏水洗净接液管外壁,用湿的红色石蕊试纸试验,若试纸不变蓝,即表示氨已全部蒸出,取下三角瓶,停止蒸馏。

⑤用0.02N硫酸液滴定变为蓝色的硼酸液至蓝色恰恰消失,溶液又变为红色即为终点。

同时作空白试验:

式中:W——样品重(克);

V——样品消耗的H2SO4体积(毫升);

V0——空白消耗的H2SO4体积(毫升);

N——硫酸的当量浓度(1)

0.014——每毫克当量氮的重量(克)。

注意事项:

①硫酸钾的作用是提高溶液的沸点,如果硫酸用量少或火力过大,或硫酸钾用量过大,均可产生硫酸氢钾,不与氨化合,引起氨的损失。

②消化时,温度在360~410℃较好。

③叶子称量0.2克左右,大约可消耗0.02N硫酸液约18~20毫升。如果测定果肉或果皮,用0.2克样品大约仅消耗硫酸2~3毫升。

④消煮好的溶液,如果不能及时蒸馏,必须加塞,否则会吸收空气中的氨,使结果偏高。

⑤蒸馏时,要注意调节通蒸气管口的大小,使各克氏瓶得到的蒸气压力相似。要调节好冷凝水的大小,防止倒吸现象。

⑥本法不包括硝态氮,因在全氮中所占比例很小,对营养诊断影响不大。

2.树体全氮、磷、钾的测定 方法原理:为了便于在同一消煮液中可以同时测定全氮、磷、钾,选用H2SO4-H2O2消煮法,操作简单快速,适用于成批植物样品的分析,对氮、磷、钾的测定干扰较少,准确度较高。但应注意双氧水不宜过早加入,用量不可过多,应分次少量添加,加入后消煮温度不宜太高。

开氏法测定的是有机氮和铵态氮,不包括硝态氮。若样品含有相当数量的硝态氮,则须先用含有水杨酸(或苯酚)的浓硫酸处理,使与水杨酸(或苯酚与硫酸反应生成的酚磺酸)在室温下作用,生成硝基水杨酸;再用硫代硫酸钠或锌粉使硝基水杨酸还原为氨基水杨酸;然后进行开氏消煮,将全部有机氮(包括氨基水杨酸)转化为铵盐。

试剂:

①浓硫酸:93%~98%硫酸,不含氮。

②含水杨酸的H2SO4:30克水杨酸(不含氮)溶于1升浓硫酸中。也可以改用含苯酚的浓硫酸,40克苯酚溶于1升浓硫酸。

浓硫酸贮存时必须防止空气中氨的污染。

③双氧水:30%H2O2,不含磷和氮。

④硫代硫酸钠:磨碎的Na2S2O3·5H2O。

⑤锌粉:极细的粉末状Zn(二级)。

测定方法:

(1)消煮液的制备

①不包括硝态氮的消煮液(Ⅰ):准确称取磨细混匀的树体干样0.5000~1.0000克或剪碎混匀的新鲜茎叶样品2.5000~5.0000克,放入开氏瓶的底部,或100毫升大消化管中,加浓硫酸8毫升,混匀浸润后加盖一小漏斗。开始低温加热至开始冒出大量白烟,微沸约5分钟,再取下冷却(约半分钟),逐滴加入30%H2O2约0.5毫升。继续加热微沸2~5分钟,再取下稍冷,添加几滴H2O2。再加热消煮,必要时可同上添加少量H2O2(用量逐次减少),直到消煮液完全清亮为止。最后一次应微沸5分钟,以除尽剩余的H2O2。冷却后加入10毫升水,无损地转移入100毫升容量瓶中,用水多次洗涤,冷却后定容。放置澄清或干过滤,此待测液可供全氮、磷、钾定量之用。

在消煮样品的同时,做两份空白试验。

②包括硝态氮的消煮液(Ⅱ):称样同上,放入100毫升开氏瓶或100毫升大消化管中,加水杨酸或苯酚的浓H2SO410毫升,浸润后在室温下(25℃左右)放置约30分钟,加入约1.5克Na2S2O3·5H2O或0.4克石粉和10毫升水,放置约10分钟,待还原反应完成后,慢慢加热,慎防泡沫溢出。泡沫停止发生后即可加大火力,使溶液保持沸腾,同上在稍冷时分次加入H2O2,消煮,定容100毫升,待测全氮、磷、钾。同时做两份空白试验。

(2)全氮的测定 H2SO4-H2O2消煮液,可根据要求和条件选用蒸馏法、扩散法、靛酚蓝比色法或其它适当的方法测定N。

①蒸馏法:同植株全N测定中方法2。

②扩散法:用移液管吸取待测液1毫升(含0.05~0.20毫克),放入扩散皿(外径9厘米)外室,内室中加入2毫升2%H3BO3溶液。盖上玻片,留出小孔,注入约1.0毫升10NNaOH,立即密闭,在25℃或15℃室温下放置1~2昼夜。在放置期间间歇地水平转动几次,以促进扩散完全。扩散完全后用0.01N的标准酸滴定内室中吸收的氨。同时做空白试验,并用标准液按相同的扩散法标定标准酸的浓度。

结果计算:

式中:N和V——标准酸的当量浓度和净用量(已扣除空白试验的用量)(毫升);

0.014——氮的毫克当量(克);

W——样品重量(克)。

③靛酚蓝比色法:方法原理:待测液中的氨在碱性条件下与次氯酸盐和苯酚作用,生成可溶性的染料靛酚蓝,溶液的蓝色很稳定,其深浅与氨态氮含量成正比,可以用比色法测定。

与纳氏比色法相比,靛酚蓝比色法的最大优点在于比色液是溶液,蓝色很稳定,再现性较高,对于连续流动自动化分析尤为适用。靛酚蓝法的灵敏度是纳氏法的6倍多,一般工作范围是0.03~0.5毫克/千克。若浓度太高时,可以将已显色的溶液直接用水稀释后比色,不必另取待测液再稀释后重做。本法的缺点是显色剂不稳定,须冷藏后或当天配制;显色时间较长,显色的条件如pH等须控制好。

试剂:

①EDTA-甲基红溶液:16克EDTA二钠盐溶于500毫升水中,加入10毫升0.25%甲基红的60%酒精溶液。

②0.3NNaOH溶液。

③酚溶液:10克苯酚和100毫克硝普钠〔NaFe(CN)5NO·2H2O〕溶于1升水中。此试剂不稳定,应贮于棕色瓶,放置4℃冰箱中,用时温热至室温。注意硝普钠有剧毒!

④次氯酸钠碱性溶液:10克NaOH,7.06克NaHPO4·7H2O,31.8克Na3PO4·12H2O和10毫升5.25%的NaClO(即含有效氯5%的漂白剂溶液)溶于1升水中。此试剂应与酚溶液同样保存。

⑤5毫克/千克标准溶液:0.4717克烘干的溶于水,定容1升。此为100毫克/千克贮备标准溶液。分析时吸取贮备液5毫升,用水稀释至100毫升,即为5毫克/千克标准溶液。

测定方法:将待测液Ⅰ或Ⅱ用水稀释10倍,用移液管吸取稀释后的溶液1毫升(含毫克),放入50毫升容量瓶中,加入1毫升EDTA-甲基红溶液,用0.3NNaOH调节至pH≈6(即甲基红由红变为黄),再依次加入5毫升酚溶液和5毫升次氯酸钠溶液,摇匀,用水定容,放置1小时后,用1厘米光径的比色杯在625纳米波长下比色,用空白试验消煮液调节吸收值的零点。

标准曲线的绘制:分别吸取0、0.5、1.0、2.0、3.0、4.0、5.0毫升5毫克/千克标准液放入50毫升容量瓶中,各加1毫升稀释10倍的空白消煮液,同上中和及显色,测定吸收值后绘制标准曲线。标准系列浓度分别为0、0.05、0.1、0.2、0.3、0.4、0.5毫克/千克氮。

结果计算:根据查得样品比色液中的浓度(毫克/千克),计算样品的全N%:

式中稀释倍数:,W是称样重,10000是把毫克/千克改用%表示时应除以的倍数。

(3)磷的测定 样品经H2SO4-H2O2消煮后的待测液中的磷可以选用在H2SO4介质中进行的各种钼蓝比色法或者钒钼黄比色法测定。钒钼黄法的灵敏度较低,但适用于含磷较高的植株样品。

方法原理:待测液中的正磷酸盐与偏磷酸盐和钼酸盐在酸性条件下作用形成黄色的杂聚化合物钒钼酸盐,溶液的黄色很稳定,其深浅与磷的含量成正比,可以用比色法定量磷。

试剂:

①钒钼酸溶液:12.5克钼酸铵〔(NH4)6Mo7O24·4H2O〕溶于200毫升水中。另将0.625克NH4VO3(偏钒酸铵)溶于150毫升沸水中,冷后加125毫升浓HNO3,再冷至室温,将钼酸铵溶液缓缓地注入钒酸铵溶液中,随时搅拌,用水稀释至500毫升。

②6NNaOH24克NaOH溶于水,稀释至100毫升。

③2,6-或2,4-二硝基酚指示剂:0.25克二硝基酚溶于100毫升水中(饱和),2,6-二硝基酚的变色范围是pH2.4(无色)~4.0(黄色)。变色点是pH3.1。

④50毫克/千克磷标准溶液:准确称取105℃下烘干的KH2PO40.2195克,溶于水,转移于1升容量瓶中,加水约至400毫升,加浓H2SO45毫升,用水定容。此为50毫克/千克P标准溶液,可长期保存使用。

测定方法:用移液吸取待测液(Ⅰ或Ⅱ)20毫升(含P0.05~1.0毫克),放入50毫升容量瓶中,加2滴二硝基酚指示剂,用6NNaOH中和至刚呈微黄色(约需10毫升),准确加入10毫升钒钼酸试剂),用水定容。同时做空白试验。放置15分钟后比色。波长450纳米(紫蓝色),1厘米光径的比色杯,以空白液调零点。

标准曲线的绘制:分别吸取0、2.5、5、7.5、10、15、20毫升50毫克/千克的磷标液于50毫升容量瓶中,同上显色、比色,绘制标准曲线。标准系列相应浓度为0、2.5、5、7.5、10、15、20毫克/千克磷。

(4)钾的测定——火焰光度法 方法原理:树体组织中的全钾(和钠)以用2N NH4OAC-0.2N Mg(OAC)2浸提,直接用火焰光度计测定最为快速方便,结果也与用灰化植物样品的方法相同。

由于植物样品中铁、铝等的干扰比土壤分析中较小,所以用干灰化法或湿灰化法制得的待测液,也可以用火焰光度计法快速测定全钾,但用H2SO4-H2O2消煮液时必须注意下列三点:

①溶液中的酸浓度对测定结果有影响(酸的存在尤其将大大降低钠光的强度)。酸的浓度在0.02N时对钾、钠的测定基本无影响,一般不得超过0.25N。

②标准液和待测液的组成要几乎相等,因为溶液的组成(包括酸碱和阴、阳离子的浓度)的改变,对测定结果有影响,所以力求标准液的组成与待测液一致。实践证明,植株消煮液经稀释后Cl、SO42-、Ca2+、Mg2+等一般不超过干扰限度。

③可用缓冲液和内标法来提高准确度:测定钾时用的发射缓冲液是氯化钠、氯化钙和氯化镁的饱和溶液,可减少待测液中这些阳离子彼此间的相互干扰。用锂的内标法可以消除或减少激发情况不稳定和溶液组成改变所造成的误差。

测定方法:用移液管吸取植株样H2SO4-H2O2消煮液后又定容100毫升的待测液(Ⅰ)5毫升,放入25毫升容量瓶中,用水定容,此溶液中K+的浓度应为10~50毫克/千克,用火焰光度计直接测定。

标准曲线用0、5、10、20、30、40、50毫克/千克钾标准系列(各加有5毫升空白消煮液)在火焰光度计上测读后绘制。

计算样品的全K%。

(5)钾、钙、镁、铁、锰、锌、铜自动化分析 方法原理:目前,钾、钙、镁、铁、锰、锌、铜的分析均用同一消煮液,用仪器分析代替常化学分析,即简便又快速,准确度高。

在测定微量元素时,对所用器皿、试剂和水有特殊要求,同时在分析过程中还要注意污染问题。

仪器:火焰光度计、原子吸收分光光度计等。

试剂:

①标准贮备液的制备:以下配制的各种标准贮备液,其浓度均为1000毫克/千克,使用前再将它们稀释成所需要的浓度,稀溶液不能长期保存。下面的标准贮备液都用1升容量瓶配制。

a.钾标准贮备液:将优级纯氯化钾(KCl)在105℃下烘4~6小时,冷后称取1.9070克,用水溶解,并准确稀释至1升。

b.钙标准贮备液:将碳酸钙(优级纯)在110℃下烘干,冷后称取2.4970克,加少量水,再将其溶于6N盐酸(HCl)溶液中,加热赶走CO2,冷后用无离子水准确稀释至1升,盐酸浓度约为1N。

c.镁标准贮备液:将1.0000克高纯镁(光谱纯)溶于少量盐酸(6N)中,用水准确稀释至1升。

d.铁标准贮备液:1.0000克高纯铁(含铁99.999%)溶于30毫升盐酸中,加数毫升硝酸氧化后,用水准确稀释至1升。

e.锰标准贮备液:将1.0000克高纯锰(含锰99.999%)溶于少量硝酸(只能在水浴上加热加速溶解,不能直接加热,温度太高,易生成高价锰而不溶解),在水浴上蒸干后,再加5毫升盐酸溶解,再蒸干,加数滴盐酸和水溶解,用水准确稀释至1升。

f.锌标准贮备液:1.0000克高纯锌(含锌99.999%)溶于稍过量的盐酸中,用水准确稀释至1升,最后溶液中盐酸浓度约为0.1N(约需6N盐酸22毫升)。

g.铜标准贮备液:1.0000克高纯金属铜(含铜99.999%)溶于少量硝酸中,在水浴上蒸干,加入5毫升盐酸,再蒸干,加HCl和水溶解,用水稀释至1升,最后溶液中盐酸浓度约为1N。

上述各贮备液配制好后,贮存在塑料瓶中,低温保存。

待测液的制备:

①干灰化法:在万分之一天平上称取烘干叶样或果实样品(叶样70~80℃,果皮和果肉60~65℃),叶子0.5000克、果皮1.5000克、果肉2.0000克于30~50毫升石英坩埚中,在电热板或电炉上小火加热碳化,亦可同时在上面用红外灯照射,逐渐降低灯的位置(最后红外灯距样品仅10~13厘米,电热板温度约300℃),效果更好。将坩埚放在垫有石棉板的高温熔炉中(避免坩埚底部温度过高),并注意不要接触炉壁。为了加速氧化,可在200~300℃时,稍稍启开炉门,使挥发物质逸出,并补充氧气。并在灰化过程中,最好交换一次坩埚位置。灰化完全的残渣应为白或灰白色。如有碳粒,可先加水1滴,使灰分湿润,再小心加入1∶1的HNO3数滴(注意防止残渣飞溅损失),在低温电热板上蒸发至干,再放回炉中烧至白色。一般叶子和果皮一次即可灰化完全,但果肉糖分高,需重复数次才能灰化完全。

灰化好的样品冷至室温,加水数滴使之湿润,沿边加入1∶1HCl1毫升溶解残渣,必要时可稍加热,通过小漏斗洗入25毫升容量瓶中,用去离子水定容至刻度(盐酸浓度为2%),摇匀,过滤,此滤液记为待测液A。

②湿灰化法:为了灰化快速完全,将样品量加大(叶子1.0克、果皮3.0克、果肉3~4.0克),定容至50毫升。

将称好的样品放在50~100毫升小开氏瓶(或小三角瓶中),加入25毫升浓HNO3和2毫升高氯酸,加一小漏斗,放置过夜。放在电炉上先用小火加热,让二氧化碳慢慢逸出,消化至溶液无色透明,高氯酸浓烟发生时,降低温度至溶液残留至约1毫升,取下瓶,放冷。整个消化过程注意勿干。

消化好的消煮液,用去离子水冲洗开氏瓶,洗至50毫升容量瓶中,加去离子水定容,摇匀,过滤,此液记为待测液B。

同时,消化10个空白,以便制备标准系列溶液。消化好的空白液,分别转移至50毫升容量瓶中,对1~8个空白液,尽量用水要少,以便以后在这些容量瓶中加入相应的标液。第九、第十个空白液加去离子水至刻度。

钾、钙、镁、铁、锰、铜、锌等的测定:

试剂:

①氯化镧溶液:称LaCl3·7H2O80.2克,用去离子水稀释至1升,此液含镧(La3+)30毫克/毫升。

②氯化锶溶液:称SrCl2·6H2O40.6克,用去离子水稀释至1升,此液含Sr2+15毫克/毫升。

③氯化钠溶液:称NaCl127.0克,用去离子水稀释至1升,此液含Na+为50毫克/毫升。

测定方法:

①干灰化法样品的测定:溶液A可直接用原子吸收分光光度计测定铜、锌、铁、锰。

钙和镁的测定:若待测液A是叶子制备样,则吸取1.0毫升,放于100毫升容量瓶中,加入LaCl3溶液(或SrCl2)10毫升,NaCl液1毫升,1∶1HCl4毫升,用去离子水定容至100毫升;若待测液A是果皮或果肉制备样,则吸取1毫升,放入50毫升容量瓶中,加入LaCl3液5毫升(或SrCl2液),NaCl液0.5毫升,1∶1HCl2毫升,用去离子水定容至50毫升。最后的溶液可直接用原子吸收分光光度计测定钙和镁。

钾的测定:将溶液A吸取2.5毫升,放入50毫升容量瓶中,加NaCl液1毫升,用去离子水定容后即可用火焰光度计测定K+(或Ca2+)。

②干灰化法标准系列液的配制:分别吸取铜、锌、锰的标准贮备液2.5毫升,放入100毫升容量瓶中,用去离子水定容,此液即为含铜、锌、锰各25毫克/千克的混合标准液。

另吸取5毫升铁标准贮备液于100毫升容量瓶中,用去离子水定容后,此液即为含Fe50毫克/千克。

按表3-4分别吸取铁、锌、铜、锰稀释标液于25毫升容量瓶中,各加1∶1HCl1升,用去离子水定容,即为各含锌、锰、铜各0,0.2,0.4,0.6,0.8,1.0,1.5,2.0毫克/千克及铁0,0.5,1.0,2.0,3.0,4.0,6.0,8.0毫克/千克的标准系列液。

表3-4 配制25毫升铁、锌、锰、铜标准系列溶液的方法(干灰法用)

③湿灰化法标准系列溶液的配制:

a.铁、锌、铜、锰标准系列溶液的配制:在前8个空白待测液中,分别加入25毫克/千克的锌、铜、锰稀释标准液0,0.4,0.8,1.2,1.6,2.0,3.0,4.0毫升及50毫克/千克铁稀释标准液0,0.5,1.0,2.0,3.0,4.0,6.0,8.0毫升,用去离子水稀释至50毫升,此即为含锌、铜、锰各0,0.2,0.4,0.6,0.8,1.0,1.5和2.0毫克/千克及含铁0,0.5,1.0,2.0,3.0,4.0,6.0,8.0毫克/千克的标准系列溶液。

b.钙和镁标准系列溶液:从第九个空白待测液中各吸取1毫升,分别放入8个100毫升容量瓶中,并在每个容量瓶中分别加入100毫克/千克的钙稀释标准液0,0.5,1.0,2.0,3.0,4.0,5.0,6.0毫升和50毫克/千克镁稀释标准液0,0.4,0.8,1.2,1.6,2.0,3.0,4.0毫升,每瓶加10毫升锶或镧溶液,1毫升NaCl液,用去离子水稀释至100毫升,此标准系列含钙0,0.5,1.0,2.0,3.0,4.0,5.0和6.0毫克/千克;含镁0,0.2,0.4,0.6,0.8,1.0,1.5和2.0毫克/千克。以上是叶子钙、镁测定时所用的标准系列液。

果皮或果肉钙、镁测定时用的标准系列液配法相同,只是50毫升容量瓶配制,其中也含1毫升空白待测液,但其他试剂用量减半(包括钙、镁稀释标准液的用量也减半)。

c.钾、钙标准系列液的配制:用干灰化法配制的钾、钙稀释标准液,吸出0,1.25,2.5,7.5,10.0,12.5,15,17.5毫升,分别放在50毫升容量瓶中,各加第九个(或第十个)空白待测液2.5毫升(为使酸度及试剂与待测液完全一致),加1毫升NaCl,用去离子水稀释至50毫升,此液分别含钾和钙各为0,2.5,5.0,10,15,20,25,30,35毫克/千克,直接用火焰光度计测定钾、钙含量(参考表3-5)。

表3-5 叶子湿灰化法所用的各元素标准系列溶液

*果皮和果肉的测定中,钙镁系列标准液用50毫升容量瓶配制,浓度与上表相同,只是稀释标准液和试剂用量均减半,空白溶液仍加1毫升。

锰、铜、锌等:按照国产或进口原子吸收分光光度计不同型号的操作说明,选定最佳工作条件进行进样测定(表3-6、3-7)。

表3-6 WFD-Y2型原子吸收分光光度计最佳条件

表3-7 310型原子吸收分光光度计最佳条件

结果计算:

式中:W——样品重(克);

V——样品第一次定容体积(毫升);

V1——从V中吸取量(毫升);

V2——测定时定容的体积(毫升);

10-4——将毫克/千克换算为%含量的乘数。

注意事项:

①试验证明有的瓷坩埚对测铜、锌有污染,不能用于铜、锌的测定。

②加盐酸溶解残渣时,须先加数滴水湿润之,否则飞溅损失。

③加入锶或镧是抑制铝、硅、铬或磷酸盐对钙、镁测定的干扰,称为释放剂,使溶液中达到3000毫克/千克La3+或1500毫克/千克Sr2+。用锶和镧时,要注意试剂中无Ca2+和Mg2+

④如果确知所加入的HNO3或开氏瓶等不含待测元素,可用标准液直接配成含4%高氯酸的标准系列液,而不必在每个标准液中加入空白待测液。

随便看

 

离鸟网收录3541549条中英文词条,其功能与新华字典、现代汉语词典、牛津高阶英汉词典等各类中英文词典类似,基本涵盖了全部常用中英文字词句的读音、释义及用法,是语言学习和写作的有利工具。

 

Copyright © 2004-2024 vtrois.com All Rights Reserved
更新时间:2026/4/17 19:46:50