网站首页  词典首页


请输入您要查询的字词:

 

字词 标准差的计算
类别 中英文字词句释义及详细解析
释义

标准差的计算


对某量x0在相同条件下多次独立测得

x1,x2,…,xn

则计算单次测量标准差σ可用如下方法。

1.贝塞尔法

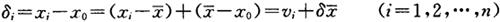
对第i次测量而言,其误差

式中vi为第i次测量的残差,为平均值的误差。

将各式平方和,得

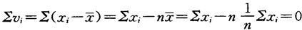
两端除n,注意

平均值误差可用其标准差代替,因

式中σ为单次测量标准差,故

这就是贝塞尔公式,此法算标准差即为贝塞尔法,它由残差

可算单次测量标准差σ及平均值标准差

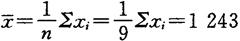
〔例2.4-6〕 对某物理量独立测9次,得值

则其最佳值

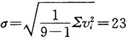
算出各次测量值xi的残差如上,于是由贝塞尔公式,单次测量标准差

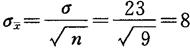
平均值标准差

2.彼得斯法

对样本平均误差

可算出其期望

于是单次测量标准差

此即彼得斯公式,它可由v取绝对值求和以算出σ。

〔例2.4-7〕 测量所得值同例2.4-6,按彼得斯公式

3.极差法

对极差

wn=maxxi-minxi

可求得其期望

Ewn=dnσ

而单次测量标准差

式中dn的数值如表2.4-1。

表2.4-1 极差dn

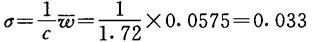
〔例2.4-8〕 测量所得值同例2.4-6,按极差法,因

w9=1258-1189=69

由n=9查上表得dn=2.97,故

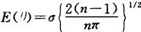
4.最大误差法

有时,可以预先知道某量的约定真值,从而可在多次独立测量后,算出误差δi,因max|δi|的期望

E(max|δi|)=Knσ

故单次测量标准差

式中1/Kn的数值如表2.4-2。

表2.4-2 最大误差

〔例2.4-9〕 在30t处用检衡车检轨道衔10次,读数为

因检衡车30t是高精度测得的,可视作真值,于是上述读数与30t之差即为误差,而

max|δi|=15kg

从而

5.最大残差法

对各次残差v1,v2,…,vn,找出max|vi|,因期望

E(max|vi|)=K′nσ,故单次测量标准差

式中1/K′n的数值如表2.4-3。

表2.4-3 最大残差Kn-1

〔例2.4-10〕 对某量测4次,得

1.70,1.57,1.37,1.71

,因

max|vi|=0.22

6.分组极差法

对某量独立测m组,每组n次,得

x1(j),x2(j),…,xn(j),(j=1,2,…,m)

算各组极差

w(1),w(2),…,w(m)

平均极差

而单次测量标准差

式中c值如表2.4-4。

表2.4-4 分组极差c值表

〔例2.4-11〕 只对某量独立测m=10组,每组测n=3次,各组极差分别为

w(1)=0.063 w(6)=0.080

w(2)=0.077 w(7)=0.043

w(3)=0.068 w(8)=0.055

w(4)=0.066 w(9)=0.029

w(5)=0.047 w(10)=0.047

平均极差

而单次测量标准差

【参考文献】:

[1]王立吉,计量学基础,中国计量出版社,1988。

[2]BIPM、IEC、IFCC,IUPAC,IUPAP,OIML,Guide to the Expression of Uncertainty in Measurement, ISO,1993.

[3]刘智敏,不确定度原理,中国计量出版社,1993。

[4]刘智敏,误差分布论,原子能出版社,1988。

[5]刘智敏,误差与数据处理,原子能出版社,1983。

[6]Liu Zhimin(刘智敏),Measurement Uncertainty and Its Correlation Combination,Proceeding of ISEM, 1993.

[7]国家计量总局量值传递处编,计量技术考核纲要,计量出版社,1981。

[8]国家技术监督局审定,刘智敏等编审,全国计量检定人员考核统一试题集第六分册三,误差及数据处理,陕西科学技术出版社,1990。

随便看

 

离鸟网收录3541549条中英文词条,其功能与新华字典、现代汉语词典、牛津高阶英汉词典等各类中英文词典类似,基本涵盖了全部常用中英文字词句的读音、释义及用法,是语言学习和写作的有利工具。

 

Copyright © 2004-2024 vtrois.com All Rights Reserved
更新时间:2026/4/18 21:51:38