网站首页  词典首页


请输入您要查询的字词:

 

字词 柠檬黄
类别 中英文字词句释义及详细解析
释义

柠檬黄


别名 酒石黄、3-羧基-5-羟基-1-(4′-磺基苯基)-4-(4′-磺基苯偶氮)-邻氮茂三钠盐、C.I.食用黄色4号、FD&C黄色5号(美)、食用黄色5号(日)

编码 GB 08.005,INS 102;C.I.(1975)19140

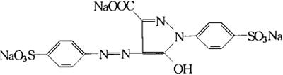
化学结构

C16H9N4Na3O9S2 相对分子质量 534.37

性状 橙黄至橙色均匀粉末或颗粒,无臭。易溶于水(1g/10mL,室温)、甘油、乙二醇,微溶于乙醇、油脂。耐光、耐热(105℃)性强。在柠檬酸、酒石酸中稳定。水溶液为黄色,遇碱稍变红,还原时退色。

制法

(1)苯肼对磺酸与双羟基酒石酸钠缩合。

(2)对氨基苯磺酸重氮化后与羟基吡唑酮偶合。

质量标准

鉴别方法

(1)本品0.1g溶于100mL水中,呈黄色澄清溶液。

(2)本品微溶于乙醇,不溶于油脂,具有酸性染料的特性,能使动物纤维着色。

(3)100mL含有0.001g本品的0.02mol/L乙酸铵溶液,最大吸收波长为428±2μm。

(4)取本品水溶液做纸上层析,其主色点的Rf值应与标准样品相同。

纸上层析条件:

展开剂 正丁醇∶无水乙醇∶氨水(1%)=6∶2∶3

温度 20~25℃

试液浓度 0.1g/100mL

试液用量 0.002mL

展开剂前沿上升限度 150mm

毒理学依据

1.LD50 小鼠口服12.75g/kg(bw)。

大鼠口服大于2g/kg(bw)。

2.ADI 0~7.5mg/kg(bw)(FAO/WHO,1964)。

使用

1.使用注意事项 参见苋菜红。

2.使用范围及使用量 我国《食用添加剂使用卫生标准》(GB 2760-1996)规定:可用于果汁(味)饮料类、碳酸饮料、配制酒、糖果、糕点上彩装、西瓜酱罐头、青梅、虾(味)片、乳酸菌饮料、植物蛋白饮料,最大使用量0.1g/kg;用于冰淇淋、雪糕、冰棍,最大使用量0.09g/kg;用于糖果包衣、红绿丝,最大使用量0.20g/kg;用于超高温杀菌风味奶、风味酸奶,最大使用量0.05g/kg;用于香橙果珍干粉,按稀释倍数计算,不超过GB 2760-1996规定。

随便看

 

离鸟网收录3541549条中英文词条,其功能与新华字典、现代汉语词典、牛津高阶英汉词典等各类中英文词典类似,基本涵盖了全部常用中英文字词句的读音、释义及用法,是语言学习和写作的有利工具。

 

Copyright © 2004-2024 vtrois.com All Rights Reserved
更新时间:2026/4/21 16:15:50