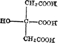
〔学名〕2-羟基丙烷-1.2.3-三羧酸
〔别名〕枸橼酸;柠檬酸
〔分子式〕

〔分子量〕210.11
〔质量规格〕

〔性质〕
1.柠檬酸是无色、无臭、半透明的结晶或白色粉末,带有水果酸味,易溶于水、乙醇及醚中,溶液呈酸性。
2.柠檬酸的相对密度1.542(18/4℃)熔点153℃(无水品)。在干燥空气中微有风化性,在潮湿空气中微有潮解性。175℃以上分解放出二氧化碳和水。
3.柠檬酸根可以进入铬络合物内球和铬配位,且配位能力较强。作为铁鞣时的蒙囿剂,可使Fe+3生成比较稳定的络合物。
〔用途〕
配制蒙囿剂
〔贮运使用注意事项〕
贮运时注意容器密封,放置在阴凉、干燥的库房中以防潮解,不宜露天堆放。
〔生产单位〕
海口市综合加工厂;上海酵母厂;轻工部发酵研究所;四川省轻工厅食品研究所。
柠檬酸水溶液的相对密度和百分浓度
