网站首页  词典首页


请输入您要查询的字词:

 

字词 柑橘施肥技术
类别 中英文字词句释义及详细解析
释义

柑橘施肥技术


柑橘施肥的目的就是调节营养平衡,使营养生长和开花结果相协调,既要培育健壮的树势,又要达到优质高产的目的。

(一)柑橘施肥的原则 柑橘是热带亚热带多年生常绿果树,在条件适宜时全年均可能生长,没有明显的深休眠期,因此比一般落叶果树需肥量大;而且柑橘种类、品种繁多,砧木不同,立地条件不同,对施肥的要求也不尽一致。因此,应根据不同情况合理施用肥料。此外,由于湿度、雨量等气象因素不仅直接影响柑橘根系吸收养分的能力,而且对土壤有机质的分解矿化速率及养分形态也有影响,同时与土壤微生物的活动也有很大关系。所以施肥还必须结合气象因子的变化灵活掌握。为了以最低的施肥成本获得较高的经济效益,正确判断柑橘的营养状况是非常必要的。以叶片分析为主,配合土壤分析和田间实验,可以较准确地提供柑橘营养水平的基础数据,以此为基础确定柑橘施肥的种类及施肥量比较可靠。

因此,在柑橘施肥中应综合考虑树龄、品种、树势状况、产量要求及土壤条件、水分状况和病虫防治等,才能达到施肥合理,获得优质高产的目的。

(二)幼树施肥 未进入结果期的幼树,其栽培目的在于促进枝梢的速生快长,培养坚实的枝干和良好的骨架,迅速扩大树冠,为早结丰产打下基础。所以,幼树施肥应以氮肥为主,配合施磷钾肥。氮肥施用的重点,着重攻春、夏、秋3次枝梢,特别是攻夏梢。夏梢生长快而肥壮,对扩大树冠起很大作用。因此,幼树施肥的主要之点是:

1.增加氮肥施用量 因为幼树主要是营养生长,要迅速扩大树冠,需施用大量的氮素。根据各地实验,一般1~3年生幼树全年施肥量,平均每株可施纯氮0.18~0.5千克,约合尿素0.35~1.0千克,具体施用应从少到多,逐年提高。同时还应配合适量的磷、钾肥。随着树龄增大,树冠不断扩大,对养分的需求不断增加。因此,幼树施肥应坚持从少到多,逐年提高的原则(表6-5)

表6-5 1~3年生幼树施肥量(克/株·年)

(中国农业科学院柑橘研究所,1989)

2.施肥期 着重在各次抽生新梢的时期,特别是5~6月促生夏梢,应作为重点施肥期。7~8月促进秋梢生长也是重要的时期。

3.施肥次数 幼树根系吸收力弱,分布范围小而浅,又无果实负担。因此,一次施肥量不能过多,应采用勤施薄施的办法,即施肥次数要多,每次施肥量要少。一般每年施肥4~6次,或更多次数。

4.间作绿肥,培肥土壤 幼年果园株行间空地较多,为了改良土壤,增加土壤有机质,提高土壤肥力,防止杂草,应在冬季和夏季种植各种豆科绿肥,深翻入土,这是一种有效的改土措施。

(三)结果树施肥 柑橘进入结果期后,其栽培目的主要是不断扩大树冠,同时获得果实的丰产和优质。这时施肥也就是调节营养生长和生殖生长的平衡,即有健壮的树势,又能丰产优质。为了达到此目的,必须按照柑橘的生育特点及吸肥规律,采用合理施肥技术,科学施肥。

1.施肥期 柑橘在年生长周期中,抽梢、开花、结果、果实成熟、花芽分化和根系生长等都有一定的规律,确定施肥期还应根据土壤、气候、品种、砧木、树势、产量和肥源等进行施肥,其主要施肥期为:

(1)花期肥 花期是柑橘生长发育的重要时期,这时既要开花,又要抽春梢。花质好坏影响当年产量,春梢质量好坏既影响当年产量,又影响翌年产量。因此,施花前肥是柑橘施肥的一个重要时期。为了确保花质良好,春梢质量佳,必须以速效化肥为主,配合施有机肥。一般在2月下旬至3月上旬施肥,约占全年施肥量的30%左右。

(2)稳果肥 稳果期正是柑橘生理落果期和夏梢抽发期,这时施肥主要目的在于提高坐果率,控制夏梢突发。为了多坐果,控制夏梢突发,避免在5~6月大量施用氮肥,否则刺激夏梢突发,引起大量落果,影响当年产量,因此一般不采用土壤施肥。为了保果,多采用叶面喷施0.3%尿素+0.2%磷酸二氢钾+激素(激素浓度因种类而异),10~15天喷1次,喷2~3次能取得良好效果,约占全年施肥量5%左右。

(3)壮果肥 柑橘在这个时期的生长发育特点是果实不断膨大,形成当年产量;抽生秋梢,秋梢是良好的结果母枝,影响来年花量和产量;花芽分化,一般9月下旬开始,直到第二年开花,因各地气温不同,时间略有差异。花芽分化的质量直接影响第二年的花量和结果,因此,壮果期是柑橘施肥的又一重点时期。为了果大、秋梢质量佳、花芽分化良好,必须以速效化肥为主,配合施有机肥,时间一般为7月至8月上旬,约占全年施肥量的35%左右。

(4)采果肥 柑橘挂果期很长,一般为6~12个月,因此消耗水分养分很多,树势衰弱。为了恢复树势,继续促进花芽分化,充实结果母枝,提高抗寒力,为来年结果打下基础,因此,采果后必须施肥。此时(10~12月)因气温下降,根系活动差,吸收力弱,应以有机肥为主,大量施用有机肥,配合施适量的化肥。时间一般为10月下旬至12月中旬。约占全年施肥量30%左右。除果实挂树贮藏,或晚熟品种可采前施肥外,否则采前不宜施肥,特别是氮肥,会严重影响果实的耐贮性,一般贮藏1~2个月腐烂率高达15%~22%。

由于各地气候、品种、土壤、栽植方式等不同,施肥期和施肥次数略有差异。施肥次数全国统计一般为3~6次,推行3~4次。广东省在柑橘采果、谢果、幼果、秋梢、壮果壮梢各期施肥,全年共施6次。各生育期施肥比例如表6-6。

表6-6 各生育期施肥表(%)

施肥时期和次数要因地制宜,如有些柑橘区,柑橘密植、墩小、根浅、气温高、蒸发大,多采用勤施薄施。花多、果多、梢弱、叶黄和受到灾害的植株,可随时补施肥料;结果很少而新梢很好的植株,可以少施1~2次,以抑制营养生长过旺,防止次年花量过多或花而不实;早熟品种应提早施肥,晚熟品种可延迟施肥,符合柑橘发育对营养的要求;夏季干旱时,可配合抗旱灌水施肥。

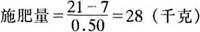
2.施肥量及比例 施肥量的多少,受品种、树龄、结果量、树势强弱、根系吸收能力、土壤供肥情况、肥料特性及气候条件的综合影响。一般瘠土多施,肥土少施;大树多施,小树少施;丰产树、衰弱树多施,低产树、强壮树少施;甜橙耐肥多施,橘类耐瘠宜略少施。从理论上讲,可以采用下列公式计算施肥量:

如柑橘公顷产量52500千克,需要吸收氮素21千克,一般土壤可供果树吸收的肥约占1/3(即7千克),氮的利用率一般为50%(0.50),则施肥量为:

根据已有的实验证明,氮肥中氮的利用率为40%~50%,磷肥中磷的利用率为10%~25%,钾肥中钾的利用率为40%左右。盛果柑橘公顷产量52500~60000千克,全树对氮(N)的吸收量为每667米217.7~240千克,磷(P2O5)的吸收量为每667米22.0~4.5千克、钾(K2O)的吸收量为每667米212.7~15.7千克。以上数字可做为确定施肥量的参考。

实践证明,丰产园的实际施肥量比理论施肥量大1~1.5倍。由此说明施肥量受许多因素的综合影响。有关丰产园施肥量及氮磷钾的施用比例见表6-7、6-8、6-9和表6-10。

表6-7 柑橘丰产园施肥量*(千克/株)

*产量每667米22500~5000千克,栽植密度每667米270~100株。

表6-8 国内外氮磷钾施用量及比例(千克/公顷·年)

*以667米270株折算。

表6-9 温州蜜柑不同树龄施用量*(千克/公顷)

*以38株/667米2

表6-10 日本温州蜜柑以产量定施肥量(千克/公顷)

(四)施肥方法 施肥方法对提高肥效和肥料的利用率,起着十分重要的作用。施肥方法不当,不仅浪费肥料,甚至会伤害果树,造成减产。施肥方法有两种,即土壤施肥和叶面喷肥。

1.土壤根际施肥 柑橘是深根系作物,根主要分布在土壤60厘米左右的深度,更多的根系分布在15~40厘米的深度。施肥的位置应在树冠外围滴水线下的土壤施肥(图6-1),因吸收根多分布在树冠外缘的土层中,并注意东西南北对称轮换施肥位置。施肥一般施于15~40厘米深处为好,并随着树冠扩大,施肥穴逐渐往外移。

图6-1 土壤施肥的位置

A.施肥位置

(1)施肥方式 幼树挖环状沟施肥(图6-2),成年结果树多挖条状沟施肥(图6-3),梯地台面窄的果树挖放射状沟施肥(图6-4)。沟的深度:追肥宜浅,挖10~20厘米;基肥宜深,挖30~40厘米。沟宽30~40厘米,长度依树冠大小而定,一般1米左右,沟底要平。肥料施入沟中,待吸干后再行盖土。

图6-2 环状施肥方式

A.施肥位置 B.树干 C.树冠冠周

图6-3 条状施肥方式

A.施肥位置 B.树干 C.树冠冠周

图6-4 放射状施肥方式

A.施肥位置 B.树干 C.树冠冠周

(2)有机肥料和化肥混合施 长短结合,充分发挥肥效。同时,有机质分解产生的腐殖质有吸附铵、钾、镁、钙、铁等离子的能力,可减少化肥的损失。特别是磷肥应和有机肥混合深施,使根群易于吸收,并防止土壤固定或流失。

果园大量施用有机肥,可改良土壤物理特性,提高土壤肥力,改善土壤深层结构,有利根系生长,不易出现缺素症。植株生长的旺盛季节,对营养的要求高,化肥作追肥施用,能及时供给植株需要的养分,保证柑橘正常生长发育。

土壤施肥需根据具体条件具体掌握,雨前或大雨时不宜施肥,雨后初晴应抢时间施肥;雨季肥料干施,旱季随灌水施肥或施肥后随即灌水。砂性土壤保肥保水能力差,应勤施肥施薄肥并且要浅施;质地黏重的土壤可重施肥,深浅结合,并要保持土壤表层疏松;红壤山地应深施肥,采用条施或沟施的方法,即改良了土壤又可引根系向深层发育,有利于抗旱和抗寒。在柑橘发根盛期(一般为6~7月份)结合促进根系发育可浅施淡肥,如果此时深施浓肥反而会引起新根截断过多和烧伤新根。由于氮素施入土壤后易于流失,因此氮肥宜施在柑橘根系的主要分布深度,且一次用量不宜太多。

2.根外追肥 根外追肥用量省,养分吸收快,运输距离短,利用率高,见效快,一般喷后15分钟至2小时即可吸收利用。喷尿素24小时后,叶片上尿素80%被吸收,磷肥和其它微量元素采用根外追肥,可减少肥料被土壤固定的损失,但不能代替土壤施肥。

柑橘保花保果,微量元素缺乏症,根部生长不良,引起叶色褪绿,结果太多,暂时脱肥,树势太弱等都可以采用根外追肥,补充根部施肥的不足。根据柑橘在不同生育时期对营养的需要,以土壤施肥为主,配合根外追肥。综合各地经验,将根外追肥综述如下。

开花前,喷施0.5%尿素和2%过磷酸钙及2%硫酸钾的混合液,可提高开花结实率。花期喷0.1%硼酸或硼砂加0.3%~0.4%尿素混合液,或喷施1%~2%过磷酸钙加10毫克/千克2,4-D溶液,可使开花着果良好。谢花后春梢叶片转绿时,喷施0.4%~0.5%的尿素加0.2%~0.3%磷酸二氢钾,可减少幼果脱落,提高坐果率。在幼果膨大期,喷施0.3%的尿素、3%过磷酸钙、0.5%~1%硫酸钾,可促进果实增长。还可喷施2%石灰水,减轻果实日灼病和增加钙素。采前1~2日喷1%~2%过磷酸钙浸出液2~3次,15~20天1次,可降低果实柠檬酸的含量,略增加含糖量,改善果实品质。冬季喷施0.3%~0.5%磷酸二氢钾或3%过磷酸钙,可促进花芽形成增加花数。幼年树各次抽梢后,可以喷施0.3%尿素。8月停止根部氮素供应后,喷2%~3%过磷酸钙,加2%硫酸钾或3%~5%草木灰,促进枝条生长充实,提早结果。

实践证明,在进行根外追肥的同时,结合喷施生长素,可以取得更好的保花保果和果实生长的良好效果。福建结合根外追肥,在幼果期喷10毫克/千克2,4-D或50~100毫克/千克萘乙酸2次,可提高坐果率1.94%~14.07%。果实膨大期,喷10~20毫克/千克2,4-D3次,果径增大0.44厘米。湖北对温州蜜柑橘谢花3/4时,喷施50毫克/千克“九二〇”,比对照提高着果率4倍。四川重庆柑橘园谢花期喷0.5%尿素和5~10毫克/千克2,4-D,生理落果期喷0.2%尿素和15~20毫克/千克2,4-D,15~20天喷1次,共喷2次,可提高着果率。四川在锦橙花芽分化期喷400毫克/千克“九二〇”,对花芽分化起着显着的抑制作用。因此,对于生长不正常,存在大小年的柑橘园,在大年花芽分化盛期,喷200~600毫克/千克“九二〇”,抑制花芽分化;小年谢花后喷50~100毫克/千克“九二〇”,可提高着果率,从而取得克服大小年的一定效果。

根外追肥和喷生长素,应掌握适宜浓度和用量,过浓过多都会引起肥(药)害或其它副作用,过低过少效果不佳。目前生产上肥料和生长素使用的浓度见表6-11。

表6-11 肥料和生长素使用的浓度

3.微量元素施肥 在生产实践中常出现因缺乏微量元素而表现的营养失调症,其缺素症的矫治方法为:喷肥,隔7~10天喷1次,一般3~5次即可,或直至转绿为止,也可将肥料元素施入土中。

在诊断叶片缺素症时,必须区别病虫为害,排水不良和某些栽培措施不当引起的叶片症状,因为这些症状常与缺素症状有共同性。

(1)缺硼及矫治

①缺硼原因:柑橘缺硼常出现在酸性土、碱性土、低硼土、有机质含量低、施用石灰过量的土壤上,干旱的气候条件易引起柑橘缺硼。

②缺硼矫治:喷施0.1%~0.2%硼酸或硼砂,可矫治柑橘缺硼症。花期喷硼是关键时期,一般7~10天1次,1~2次即可取得良好效果。

(2)缺锌及矫治

①缺锌原因:柑橘最普遍的营养失调是缺锌,仅次于氮。缺锌在酸性土、轻砂土发生较广泛,其它因素如碱性土,施肥导致含磷量高。氮肥、土壤水分、过量的钾、钙和其它元素不平衡,都引起缺锌。

②缺锌矫治:新梢萌发喷施锌肥能取得较好的效果。3月下旬、7月下旬,叶面喷施0.3%硫酸锌加0.2%尿素;4~6月根系生长旺盛时期,每株树施0.1千克硫酸锌与猪、牛粪拌匀进行土壤施肥,矫治效果也较好。

(3)缺锰矫治

①缺锰原因:柑橘栽培区普遍发生缺锰现象,一般酸性土和碱性土均发生缺锰。酸性土缺锰由于淋溶损失,碱性土缺锰由于锰的可溶性非常低。

②缺锰矫治:5~8月喷0.2%~0.3%硫酸锰溶液几次即可矫治。国外多用0.5%硫酸锰+0.25%消石灰,钙质土用0.3%硫酸锰+0.1%消石灰。

(4)缺铁及矫治

①缺铁原因:石灰性土壤,土壤水分过多和不透气,碳酸氢根离子含量高,营养元素不平衡(磷、钙、锰、锌、铜),其它重金属和土壤低温,品种和砧木对铁的敏感有差异,特别是枳砧对铁非常敏感,都是缺铁的原因。

②缺铁矫治:石灰性土壤缺铁是难于矫治的,柑橘缺铁喷0.05%~0.2%柠檬酸铁或硫酸亚铁有局部效果。

根饲喂吸铁法是当前防治柑橘缺铁的有效方法。中国农业科学院柑橘研究所根系饲喂吸铁法掌握浓度0.5%柠檬酸+15%硫酸亚铁,或15%~20%尿素+15毫克/千克萘乙酸均有良好效果。但对病虫严重危害树、衰老树和土层浅薄树无效。5~7月饲喂效果均好。浙江根系饲喂吸铁法,4%柠檬酸+6%硫酸亚铁。

红橘、枸头橙、本地早、朱栾等砧木,均较枳砧不易发生缺铁症,其原因是每株靠接砧木2~3根的缘故。

多施有机肥,公顷施15000~22500千克,并按每株施硫酸亚.铁1~1.5千克的用量与有机肥混匀条施,也可取得良好效果。

国外柑橘土施螯合铁矫治柑橘缺铁行之有效,中性土和石灰性土每株施15~20克Fe·EDDHA;酸性土每株施Fe·EDTA20克,都能取得满意效果,但成本太高。

随便看

 

离鸟网收录3541549条中英文词条,其功能与新华字典、现代汉语词典、牛津高阶英汉词典等各类中英文词典类似,基本涵盖了全部常用中英文字词句的读音、释义及用法,是语言学习和写作的有利工具。

 

Copyright © 2004-2024 vtrois.com All Rights Reserved
更新时间:2026/4/20 2:59:47