网站首页  词典首页


请输入您要查询的字词:

 

字词 某机耕船厂的“本利分析”
类别 中英文字词句释义及详细解析
释义

某机耕船厂的“本利分析”


如何从我国企业实际出发,吸取“管理会计”的基础理论和方法,推行目标成一和目标利润管理,并联系产量、质量和消耗,开展“本、利分析”,提高经济效益,这是目前机械行业加强企业管理和经济核算所面临的新课题之一。

一、推行目标成本和目标利润管理至关重要

某厂是以生产机耕船、磷化扳手和手推车为主的小型机械工业企业。调整时期,生产任务不足,产品多变,给成本管理与利润(亏损)测算带来不少困难,而且往往使企业领导者在经营决策上,尤其是在扩大业务与权衡盈亏之间举棋不定。例如,1979年,厂里为了“找饭吃”,从省外贸公司承接了一批8″磷化扳手合同,每把售价4.60元,而按料、工、费初步测算,每把销售成本为4.72元。批量投产,是盈是亏,难以预测。当时厂部围绕接不接这笔业务展开了激烈争论。有的同志被企业连续几年亏损“亏”怕了,再来一”亏”,大有谈“亏”色变之感。但丢吧?又舍不得。眼看厂里任务不足,部分工人和机床无事干,真是两头为难。后来,帮助厂领导班子打破这种“举棋不定”局面的是“管理会计”,通过如开各种座谈会和调查会,组织专业班子,开展对扳手变动成本和固定成本的分析,使厂领导成员经营指导思想明确了,承接板手业务的决心增强了。在此基础上,厂部以“管理会计”的理论和方法为指导,加强了目标成本和目标利润管理,并采用逆算法,即“目标成本=预测售价-税金-目标利润”,将扳手成本分解到锻压车间(毛坯)和小件车间(机加工),与此相适应,厂部采取了如下措施:(1)按照目标管理要求,从扳手毛坯加工到装配等各道工序,分别制订了工时定额、质量标准、消耗定额将产量、质量和消耗三项基本指标落实到工序和机台,以保证目标成本和目标利润的实现。(2)建立和健全各种原始记录,在定额管理的基础上,强化数据管理。(3)设立车间中间仓库,加强对在制品的管理。(4)制订工序、在制品、零件、成品以及耗用各种原材料、辅料、动力和外购件、外协件内部价格1,220种,以满足车间核算的需要。(5)配备工位器具60多套,以保证零件传递过程中计量准确和简便。(6)在推行经济责任制中,结合对产、质、耗三项指标的严格考核,并逐月对车间损益平衡点进行测算,做到奖勤罚懒。这样,扳手生产线形成了以目标管理为中心,质量管理与经济核算紧实结合的管理体系,收到了明显的效果。1982年,生产磷化扳手14万把,比上年增长27.2%;扳手品种,由原来的1种,发展到4″~12″5种;扳手一等品率稳步上升,增强了在国际市场上与世界王牌扳手——瑞典“巴可牌”扳手的竞争能力;扳手一年可分摊全厂固定费用21.14万元,单把扳手由保本变为盈利,提高了企业的经济效益。

二、“量、本、利分析”必须先行

推行目标成本和目标利润管理,要求我们必须首先以预测“保本”为中心环节,开展对产量、成本和利润之间关系的定量分析,从而寻求扳手生产的损益平衡点。以机加工板手为例,我们是采用“边际贡献法”进行测算的。

小件车间有生产工人86人,管理人员(包括设备和夹具调试员)12人,设备55台(套),除每月生产机耕船零件、分摊变动费用1650元,固定费用1350元外,其余为生产扳手所发生的费用,按照成本要素,我们将材料、辅料、动力、模具费用、废品损失和超定额计件工资等列为变动成本,将企业管理费和车间经费中的折旧费、大修理费、劳动保护费和管理人员工资,以及采取计时工资制的生产工人工资等列为固定成本,其金额为17131元。

计划安排这个车间机加工扳手(Q)1万把,单把内部售价(P)3.92元,目标盈利(T)0.20元,其销售收入、变动成本总额,边际贡献总额及目标盈利等数据,如下表所示:

表1

测算机加工扳手损益平衡点的产量时,因为:净收入=0

边际贡献总额=固定成本

代入后,损益平衡点的产量,即39200÷3.92=10000(把)

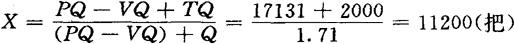
在测算损益平衡点产量基础上,将厂部确定单把机加工扳手目标利润(T)C.20元,代入下列公式,求得增盈的目标产量(X):

求得了实现目标利润所必需的扳手产量后,厂部在组织生产中,把“保本产量”作为保证目标,“增盈产量”作为争取目标,狠抓了“三个平衡”,即扳手毛坯与加工的生产能力平衡,机加工扳手各种零件和工序之间长短线平衡,自制件和外协件的平衡。同时,实行了月计划、旬分析、日兑现,以保证目标产量的完成。1982年,这个车间经过工人、干部和技术人员的共同努力,共生产扳手14万把,平均每月产量11700把,达到了保证目标和争取目标的要求。其他因素不变,仅通过提高产量,降低单把机加工扳手的固定成本的途径,使企业增益2万多元。

三、联系质量和消耗进行“本、利分析”不可缺少。

在一定时期内,开展对扳手“量、本、利分析”并按照目标利润,求得目标产量及保证其实现,这从降低扳手固定成本、提高经济效益来说,是有积极意义的。然而,影响单把扳手成本和利润因素是复杂的,除产量因素外,还受质量、消耗等因素的影响。就成本表现形态来说,固定成本和变动成本都处于动态而不是静态,是变量而不是定量。正因为这样,我们在推行目标管理中,既要开展“量、本、利分析”,又要进行”质、本、利分析”和“耗、本、利分析”,应当指出:只有将这三种分析同步进行,有机结合,才能联系我国机械行业企业管理实际把“管理会计”运用自如,才能使我们在预测、计算和监控产品成本中避免片面性,才能取得较好的经济效益。

1.开展“质、本、利分析”的基本环节是突出质量指标,以计算单把扳手直接材料和直接人工的差额,来考核单把扳手变动成本上升或下降。

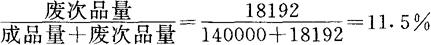
1982年,厂部对小件车间规定扳手机加工废次品率为12%,其中,次品率7%,废品率5%,低于或高于这个质量指标,就会影响扳手的主要原材料和直接人工的投入量。从实际执行结果来看,这个车间共生产达到出口标准的一等品扳手14万把。按此产量推算目标废次品量为19091把,其中目标次品量11136把,目标废品量7955氢。而实际发生次品10602把,废品7590把,其实际废次品率是:

其中,次品率为6.7%,低于规定指标0.3%,废品率4.8%,低于规定指标0.2%。在其他因素不变的情况下,通过加强质量管理,降低扳手废次品率,使单把机加工扳手主要材料耗用量下降0.02元,直接人工耗用量下降0.06元。换言之,单把扳手变动成本下降0.08元。

2.开展“耗、本、利分析”,基本环节是突出消耗指标,以计算单把扳手辅料耗用量的差额,来考核单把扳手变动成本的上升或下降。

工具是机加工扳手的主要辅助消耗。其中,因非标准工具用量大,购进价格相当不稳,加之,车间在组织生产中存在“两重”(重产量重质量)、“一轻”(轻消耗)的思想,使扳手工具消耗比计划指标有较大突破。按照厂部制订的扳手机加工工具消耗定额,每把工量消耗计划指标0.20元,实际全年耗用37578元,其工具消耗差额如下表所示:

表2

根据上表分析,可以看出,因工具消耗超过计划规定指标,使扳手机工单把变动成本上升0.04元。

如果将上述联质联耗进行“本、利分析”综合起来,那么8″扳手实现目标产量后,单把固定成本下降0.20元,单把变动成本下降0.04元,合计单把8″扳手增盈0.24元。

随便看

 

离鸟网收录3541549条中英文词条,其功能与新华字典、现代汉语词典、牛津高阶英汉词典等各类中英文词典类似,基本涵盖了全部常用中英文字词句的读音、释义及用法,是语言学习和写作的有利工具。

 

Copyright © 2004-2024 vtrois.com All Rights Reserved
更新时间:2026/4/19 9:29:30